The Normal Distribution


When considering the statistics of populations and other naturally occurring phenomena an important frequency distribution to be aware of is the Normal Distribution.  It is not uncommon for large population samples to have distributions which approximate the Normal Curve.  Graphically speaking, the Normal Distribution appears as a symmetrical bell-shaped curve whose positive and negative values extend to infinity.

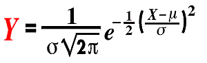
It is the area under the curve that is of particular importance. Suppose the curve represented the height of everyone in the world. The area under a particular point on a curve (a specific height on the x-axis) repersents the total number of people of that height in the population. The equation of the Normal Curve is:

Properties of Normal Curves

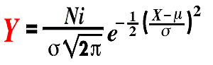
On occasion it is necessary to create a normal curve which is equivalent to the area of a given histogram. The equation for this Normal Curve is:

N = number of cases
i = length of class interval used to draw the histogram

Note the presence of those familiar constants e  and pi .  What are the special properties of these widely utilized values?

         

The Standard Normal Distribution

The Normal Curve of our UCLA Sample Population


2:2