Conducting The F-Test


It is often the case that the population variance is an unknown quantity, and the sample size of one or both of the samples prevents us from using the sample variance as an approximate of the population variance. If this is the case, an F-test of the variances must be preformed. The equation to be used in the next step hinges on the results.

Question no. 3: Is the hypothesis accepted or rejected?

ACCEPTED.

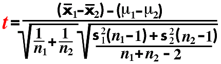
If difference between the sample variances is not significant, then the following t-test is performed, where the degrees of freedom equals the sum of the two quantities minus two:

Degrees of Freedom: n 1 + n 2 - 2

REJECTED.

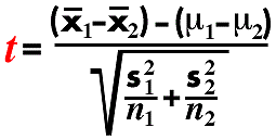
If there is a significant difference between the sample variances, this equation involving the t-distribution is used, with the degrees of freedom being the smaller value of n  minus one:

Degrees of Freedom: >n -1


A Review of Means Testing


   

5:21