Review of Hypothesis Testing
for 2 Means: A Flowchart


Relevant
Statistic

Conditions

Relevant
Distribution

Equation

Variances of
2 populations

Population is
normally
distributed

F-distribution

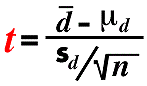
Means of 2
populations

Two samples are
dependent

Student-t

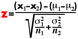
Means of 2
populations

Either is known,
or n1 and n2
exceed 30

Standard
normal

Means of 2
populations

n1 and n2 less
than 30, accept

Student-t

Means of 2
populations

n1 and n2 less
than 30, reject

Student-t