Calculating the Differences
In order to conduct a t-test of dependent means, we must first find the mean of the differences:
![]()
= -0.4375
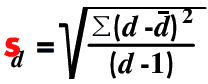
Next we must find the standard deviation of the differences:
![]()
= 0.840
We can now conduct a hypothesis test of dependent means.
5:16