Solving for b


One property of the regression line is that it must pass through the centriod point, which is the mean value of all sample x values and the mean value of all sample y values. Knowing this, we can apply the y= m x+ b  equation:

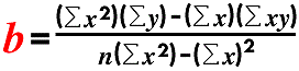
However if you prefer a more laborious process, here's the equation for b  employing the sums of values:

Why is the regression line also known as the line of least squares?  We say that a regression line 'fits' the collection of points because the sum of the squares of the vertical deviations of sample points from the regression line is the smallest sum possible.

The Regression Line for our Case Example


  

6:9