I'm an engineer seeking moonshot in the health / bio sector. I'm also Stanford class of 2020 B.S. in Biomedical Computation, and class of 2021 M.S. in Computer Science AI specialization. My primary interests have been precision health, data flow, zero to one, and the list is still growing.
Currently I have a job, but am open to a new software engineering/product owner/startup opportunities. If you think I'm a good fit, please contant me via sunnybd97@gmail.com.
I'm a cell-like independent teamworker, strong in research and coding. My areas of expertise are computer science, bioinformatics, and genetics. Below are highlights of my technical skills:
Here are my work experiences and education.
March 2022 - Present
Team member at Amazon Health & Wellness Halo Device CVML team. Won first place in healthtech hackathon with softwate prototype to highlight user's milestones and achievement to drive customer engagement.
June 2020 - March 2022
Owned fundamental company data transfer pipeline transferring genomic data from lab to compute clusters. Built automation system for troubleshooting sequencing results from variant confirmation process. Created complex and interactive web visualization tool for clinical interpretation based on React framework and Plotly visual tools.
June 2019 - September 2019
Worked in proteomics department under R&D. Created web data analysis & visualization for MS based proteomics using python pyramid server & typescript client. Ran high throughput computation analysis through Spotfire, R, and SQL queries. Was selected for Genentech Leader Intern Exchange program (gLINX) and mentored by senior VP executive
August 2018 - September 2018
Worked in blockchain company. Performed network performance test between AWS centers located in Asia. Created GOPAX API monitoring tool that would test GOPAX API, create error digest, then would send email alert. Studied zcash transaction after Overwinter Hardfolk.
June 2018 - August 2018
Updated python package called DNAplotlib, a project under National Resource for Network Biology. Integrated pySBOL2 which supports hierarchical and complex interaction visualizion of synthetic biocircuits. Rendered Synthetic Biology Open Language (SBOL) visual standard glyph in python. More details in projects
March 2018 - June 2018
Developed iOS app called DoctorMi that visualizes user health diagnosis data based on breath analysis. Supports features such as daily health data check, real time breath analysis, looking at other health data, and sharing health data by email. Originally a final project for the class CS193P. More details in projects
March 2017 - October 2017
Built user chat system based on Django channel package and websockets. Created print itinerary page for the outdoor trekking route using javascript, css, and html programing. Developed web pages to enhance user experience, reached out to Stanford student orgs for user testing. More details in projects
September 2017 - March 2021
Majored in computer science, specialized in Artificial Intelligence. Honors thesis on "A Computational Model to Identify Genetic Differences in ALDH2 From Human Exhaled Breath"
September 2016 - June 2020
Founded the club Stanford Transhumanist Association. Former webmaster for Sigma Psi Zeta, former club director for Stanford Biology Open Maker Environment.
March 2010 - March 2016
Graduated with Egregia Cum Laude. Received merit based scholarship twice. Won Second Prize in Intel International Science Fair. Recognized as the top ten student researcher. Founded charity fund raising club Jo Quak Bo, volunteered school librarian duty for six years.
iOS app that displays user health diagnosis info from breath analysis. Included features are daily info display, display option customization, showing other's info, and sharing one's health info.
Swift, Xcode, iOS development
Python package for visualizing genetic circuits. Updated the package to support rendering Synthetic Biology Open Visual 2 glyphs & visualization of non-dna components. Picture credit: lavanguardia news
python, synthetic biology, Google, Code for Summer
Startup for providing trekking route customized for user's outdoor experience level, fitness, weather, and view. Built user chat platform & final route popup box
Branding, front-end development, javascript, css, html
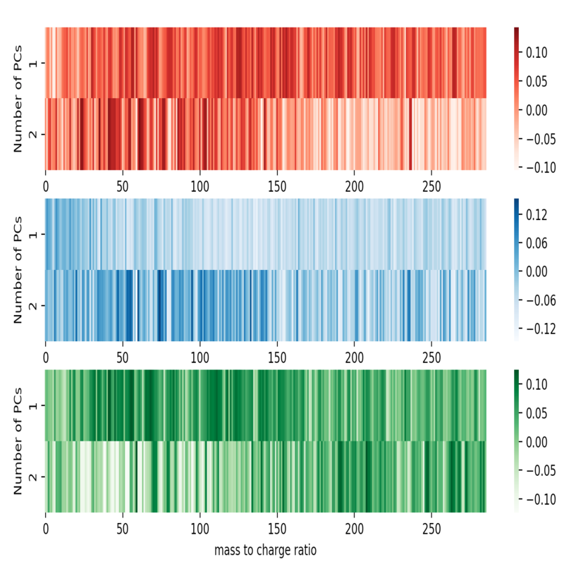
PCA analysis of Human Breath (HB) measured through Selected Ion Flow Tube-Mass Spectroscopy. Visualization of differences between individual breath through dimension reduction. Research in Gross Lab, Stanford Medical Center
Photography
Created own personal website for showing resume. Merged Ceeve and Kard platform from Styleshout.
Webdesign, javascript, css, html
Updated website for Omicron Stanford Charter, Sigma Psi Zeta (SYZ). SYZ is the biggest Asian-interest sorority on campus. User traffic doubled during my time of development
Web development, blog, activisim, asian-interest
Three years of wetlab research on developing novel heavy metal adsorbent out of jellyfish Chondroitin Sulfate. Patented on 2016, recognized with second place in Intel ISEF 2015.
Biology, wetlab, patentSummary of my leadership & extracurricular activities
Stanford Transhumanist Association• March 2018 - Present
Organized executive board members & meeting.
Designed STA discussion event posters.
Took record of STA meeting & discussion.
Recruited Stanford students into club members.
Omicron Charter, Sigma Psi Zeta• January 2018 - Present
Ran homepage for the biggest Asian interest sorority in campus.
Publicized the organization's activity, redesigned user interface that doubled website traffic.
Sigma Psi Zeta
Lane Library, Stanford Medical Center• March 2018 - Present
Helped manage 10000+ books through returning, lending, and shelving books.
Assisted library users at the front desk.
Participated in library user statistics through Google Docs.
Biology Interdisplinary Open Maker Environment, Stanford• March 2003
Fostered bioengineering community on campus through designing club tshirt.
Organized the first Stanford Bioengineering Hackathon supported by Genspace, Opentrons, FBI, and other biotech companies
BIOME
Stanford Intramural Women Basketball Team• September 2016 - March 2017
Participated in rigorous basketball training twice every week.
Played in varsity basketball team during high school.
Let me get to know more about you.
531 Lasuen Mall
Stanford, CA
94305 US
sunnybd97@gmail.com