Contents

% Group lasso example with random data

Generate problem data

randn('seed', 0);
rand('seed',0);

m = 1500;       % amount of data
K = 200;        % number of blocks
partition = randi(50, [K 1]);

n = sum(partition); % number of features
p = 100/n;          % sparsity density

% generate block sparse solution vector
x = zeros(n,1);
start_ind = 1;
cum_part = cumsum(partition);
for i = 1:K,
    x(start_ind:cum_part(i)) = 0;
    if( rand() < p)
        % fill nonzeros
        x(start_ind:cum_part(i)) = randn(partition(i),1);
    end
    start_ind = cum_part(i)+1;
end

% generate random data matrix
A = randn(m,n);

% normalize columns of A
A = A*spdiags(1./norms(A)',0,n,n);

% generate measurement b with noise
b = A*x + sqrt(0.001)*randn(m,1);

% lambda max
start_ind = 1;
for i = 1:K,
    sel = start_ind:cum_part(i);
    lambdas(i) = norm(A(:,sel)'*b);
    start_ind = cum_part(i) + 1;
end
lambda_max = max(lambdas);

% regularization parameter
lambda = 0.1*lambda_max;

xtrue = x;   % save solution

Solve problem

[x history] = group_lasso(A, b, lambda, partition, 1.0, 1.0);
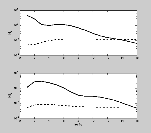
iter	    r norm	   eps pri	    s norm	  eps dual	 objective
  1	    4.5636	    0.0575	    1.1081	    0.0529	      5.75
  2	    2.6711	    0.0528	    2.5802	    0.0781	     15.56
  3	    1.1275	    0.0729	    2.8105	    0.0858	     21.82
  4	    0.9624	    0.0954	    2.3289	    0.0836	     24.10
  5	    1.1278	    0.1114	    1.6552	    0.0776	     24.57
  6	    1.1015	    0.1205	    1.0314	    0.0707	     24.56
  7	    0.9163	    0.1243	    0.5703	    0.0649	     24.20
  8	    0.6773	    0.1245	    0.3388	    0.0605	     23.65
  9	    0.4594	    0.1228	    0.2927	    0.0576	     23.04
 10	    0.2979	    0.1203	    0.2849	    0.0560	     22.46
 11	    0.2006	    0.1179	    0.2548	    0.0552	     22.01
 12	    0.1524	    0.1160	    0.2063	    0.0551	     21.69
 13	    0.1264	    0.1146	    0.1535	    0.0553	     21.51
 14	    0.1050	    0.1137	    0.1069	    0.0557	     21.43
 15	    0.0835	    0.1133	    0.0714	    0.0562	     21.42
 16	    0.0633	    0.1132	    0.0477	    0.0565	     21.45
Elapsed time is 1.889415 seconds.

Reporting

K = length(history.objval);

h = figure;
plot(1:K, history.objval, 'k', 'MarkerSize', 10, 'LineWidth', 2);
ylabel('f(x^k) + g(z^k)'); xlabel('iter (k)');

g = figure;
subplot(2,1,1);
semilogy(1:K, max(1e-8, history.r_norm), 'k', ...
    1:K, history.eps_pri, 'k--',  'LineWidth', 2);
ylabel('||r||_2');

subplot(2,1,2);
semilogy(1:K, max(1e-8, history.s_norm), 'k', ...
    1:K, history.eps_dual, 'k--', 'LineWidth', 2);
ylabel('||s||_2'); xlabel('iter (k)');