Contents

% L1-regularized least-squares example

Generate problem data

randn('seed', 0);
rand('seed',0);

m = 1500;       % number of examples
n = 5000;       % number of features
p = 100/n;      % sparsity density

x0 = sprandn(n,1,p);
A = randn(m,n);
A = A*spdiags(1./sqrt(sum(A.^2))',0,n,n); % normalize columns
b = A*x0 + sqrt(0.001)*randn(m,1);

lambda_max = norm( A'*b, 'inf' );
lambda = 0.1*lambda_max;

Solve problem

[x history] = lasso(A, b, lambda, 1.0, 1.0);
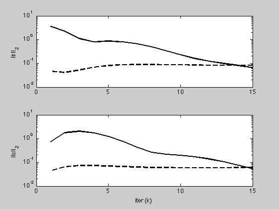
iter	    r norm	   eps pri	    s norm	  eps dual	 objective
  1	    3.7048	    0.0465	    0.7250	    0.0441	      3.35
  2	    2.2654	    0.0409	    1.7960	    0.0653	     10.13
  3	    1.0958	    0.0529	    2.0325	    0.0734	     15.14
  4	    0.8050	    0.0687	    1.7219	    0.0736	     17.68
  5	    0.8619	    0.0801	    1.2234	    0.0704	     18.69
  6	    0.8078	    0.0864	    0.7669	    0.0667	     18.92
  7	    0.6611	    0.0889	    0.4398	    0.0635	     18.80
  8	    0.4906	    0.0890	    0.2659	    0.0612	     18.49
  9	    0.3379	    0.0878	    0.2159	    0.0598	     18.12
 10	    0.2255	    0.0861	    0.1987	    0.0591	     17.78
 11	    0.1585	    0.0845	    0.1721	    0.0590	     17.51
 12	    0.1212	    0.0833	    0.1379	    0.0591	     17.35
 13	    0.0979	    0.0825	    0.1044	    0.0595	     17.27
 14	    0.0799	    0.0820	    0.0759	    0.0598	     17.25
 15	    0.0650	    0.0819	    0.0532	    0.0602	     17.27
Elapsed time is 1.803560 seconds.

Reporting

K = length(history.objval);

h = figure;
plot(1:K, history.objval, 'k', 'MarkerSize', 10, 'LineWidth', 2);
ylabel('f(x^k) + g(z^k)'); xlabel('iter (k)');

g = figure;
subplot(2,1,1);
semilogy(1:K, max(1e-8, history.r_norm), 'k', ...
    1:K, history.eps_pri, 'k--',  'LineWidth', 2);
ylabel('||r||_2');

subplot(2,1,2);
semilogy(1:K, max(1e-8, history.s_norm), 'k', ...
    1:K, history.eps_dual, 'k--', 'LineWidth', 2);
ylabel('||s||_2'); xlabel('iter (k)');