Contents
Generate problem data
rand('seed', 0);
randn('seed', 0);
m = 1000;
n = 100;
A = randn(m,n);
x0 = 10*randn(n,1);
b = A*x0;
idx = randsample(m,ceil(m/50));
b(idx) = b(idx) + 1e2*randn(size(idx));
Solve problem
[x history] = lad(A, b, 1.0, 1.0);
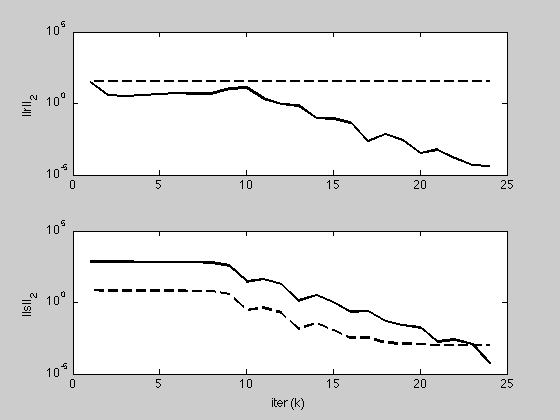
iter r norm eps pri s norm eps dual objective
1 30.1596 34.3292 690.6743 6.9077 4773.18
2 3.7155 34.3292 688.4685 6.8857 4637.05
3 3.0866 34.3292 682.3849 6.8248 4152.80
4 3.8887 34.3292 671.2751 6.7138 3675.84
5 4.5094 34.3292 656.2406 6.5634 3222.49
6 5.0494 34.3292 641.7290 6.4183 2786.84
7 4.9828 34.3292 630.5902 6.3069 2372.09
8 4.7762 34.3292 610.1365 6.1024 1993.60
9 10.4738 34.3292 377.8906 3.7799 1798.79
10 12.5191 34.3292 28.8587 0.2896 1790.43
11 2.1989 34.3292 42.5469 0.4265 1780.46
12 0.9115 34.3292 18.6326 0.1873 1776.38
13 0.7020 34.3292 1.3172 0.0142 1776.70
14 0.0953 34.3292 3.3369 0.0344 1777.30
15 0.0848 34.3292 1.0074 0.0111 1777.44
16 0.0440 34.3292 0.2302 0.0033 1777.39
17 0.0023 34.3292 0.2495 0.0035 1777.36
18 0.0072 34.3292 0.0494 0.0015 1777.35
19 0.0027 34.3292 0.0264 0.0013 1777.36
20 0.0003 34.3292 0.0176 0.0012 1777.36
21 0.0006 34.3292 0.0017 0.0010 1777.36
22 0.0001 34.3292 0.0025 0.0010 1777.36
23 0.0000 34.3292 0.0012 0.0010 1777.36
24 0.0000 34.3292 0.0001 0.0010 1777.36
Elapsed time is 0.079891 seconds.
Reporting
K = length(history.objval);
h = figure;
plot(1:K, history.objval, 'k', 'MarkerSize', 10, 'LineWidth', 2);
ylabel('f(x^k) + g(z^k)'); xlabel('iter (k)');
g = figure;
subplot(2,1,1);
semilogy(1:K, max(1e-8, history.r_norm), 'k', ...
1:K, history.eps_pri, 'k--', 'LineWidth', 2);
ylabel('||r||_2');
subplot(2,1,2);
semilogy(1:K, max(1e-8, history.s_norm), 'k', ...
1:K, history.eps_dual, 'k--', 'LineWidth', 2);
ylabel('||s||_2'); xlabel('iter (k)');