Contents

% Standard form LP with random data

Generate problem data

randn('state', 0);
rand('state', 0);

n = 500;  % dimension of x
m = 400;  % number of equality constraints

c  = rand(n,1) + 0.5;    % create nonnegative price vector with mean 1
x0 = abs(randn(n,1));    % create random solution vector

A = abs(randn(m,n));     % create random, nonnegative matrix A
b = A*x0;

Solve problem

[x history] = linprog(c, A, b, 1.0, 1.0);
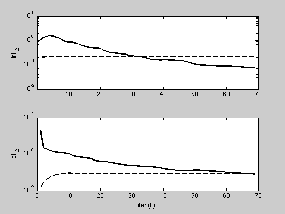
iter	    r norm	   eps pri	    s norm	  eps dual	 objective
  1	    1.0583	    0.2090	   20.6468	    0.0128	    377.17
  2	    1.3281	    0.2132	    2.2600	    0.0253	    371.25
  3	    1.5087	    0.2182	    1.9352	    0.0387	    367.10
  4	    1.5695	    0.2229	    1.6421	    0.0518	    364.81
  5	    1.5312	    0.2262	    1.4066	    0.0635	    364.21
  6	    1.4058	    0.2280	    1.2723	    0.0733	    364.81
  7	    1.2277	    0.2286	    1.2189	    0.0807	    365.98
  8	    1.0224	    0.2286	    1.2002	    0.0859	    367.35
  9	    0.8861	    0.2282	    1.1314	    0.0887	    368.77
 10	    0.8534	    0.2278	    1.0007	    0.0896	    370.05
 11	    0.8526	    0.2275	    0.8478	    0.0893	    371.04
 12	    0.7885	    0.2272	    0.7667	    0.0884	    371.69
 13	    0.7181	    0.2271	    0.6922	    0.0872	    372.04
 14	    0.6492	    0.2272	    0.6628	    0.0859	    372.10
 15	    0.5849	    0.2274	    0.6356	    0.0848	    371.97
 16	    0.5359	    0.2276	    0.5851	    0.0839	    371.76
 17	    0.4933	    0.2279	    0.5560	    0.0833	    371.53
 18	    0.4857	    0.2279	    0.4907	    0.0829	    371.32
 19	    0.4840	    0.2278	    0.4258	    0.0827	    371.17
 20	    0.4652	    0.2277	    0.3954	    0.0828	    371.06
 21	    0.3946	    0.2276	    0.4067	    0.0830	    370.97
 22	    0.3540	    0.2275	    0.3861	    0.0833	    370.92
 23	    0.3225	    0.2274	    0.3638	    0.0836	    370.92
 24	    0.3077	    0.2274	    0.3378	    0.0838	    370.96
 25	    0.2989	    0.2273	    0.3120	    0.0839	    371.05
 26	    0.2927	    0.2272	    0.2886	    0.0838	    371.15
 27	    0.2798	    0.2272	    0.2745	    0.0837	    371.25
 28	    0.2677	    0.2273	    0.2582	    0.0835	    371.31
 29	    0.2536	    0.2273	    0.2492	    0.0832	    371.34
 30	    0.2406	    0.2274	    0.2416	    0.0830	    371.34
 31	    0.2309	    0.2276	    0.2324	    0.0828	    371.31
 32	    0.2224	    0.2277	    0.2225	    0.0827	    371.27
 33	    0.2153	    0.2279	    0.2121	    0.0826	    371.22
 34	    0.2020	    0.2281	    0.2088	    0.0825	    371.18
 35	    0.1868	    0.2282	    0.2054	    0.0826	    371.14
 36	    0.1725	    0.2283	    0.2032	    0.0826	    371.12
 37	    0.1643	    0.2285	    0.1970	    0.0826	    371.13
 38	    0.1608	    0.2286	    0.1869	    0.0826	    371.15
 39	    0.1598	    0.2286	    0.1763	    0.0825	    371.19
 40	    0.1610	    0.2287	    0.1630	    0.0824	    371.22
 41	    0.1612	    0.2287	    0.1517	    0.0822	    371.25
 42	    0.1597	    0.2287	    0.1433	    0.0820	    371.26
 43	    0.1572	    0.2286	    0.1366	    0.0819	    371.26
 44	    0.1550	    0.2286	    0.1304	    0.0817	    371.25
 45	    0.1524	    0.2286	    0.1247	    0.0816	    371.23
 46	    0.1481	    0.2285	    0.1225	    0.0816	    371.21
 47	    0.1402	    0.2285	    0.1220	    0.0815	    371.19
 48	    0.1283	    0.2285	    0.1288	    0.0815	    371.18
 49	    0.1182	    0.2285	    0.1295	    0.0815	    371.17
 50	    0.1075	    0.2284	    0.1336	    0.0815	    371.17
 51	    0.1008	    0.2284	    0.1315	    0.0815	    371.16
 52	    0.0979	    0.2285	    0.1289	    0.0815	    371.16
 53	    0.0974	    0.2285	    0.1249	    0.0815	    371.15
 54	    0.0961	    0.2286	    0.1209	    0.0815	    371.15
 55	    0.0937	    0.2287	    0.1188	    0.0815	    371.14
 56	    0.0906	    0.2287	    0.1166	    0.0815	    371.12
 57	    0.0882	    0.2288	    0.1144	    0.0815	    371.11
 58	    0.0883	    0.2289	    0.1107	    0.0815	    371.09
 59	    0.0891	    0.2290	    0.1056	    0.0816	    371.07
 60	    0.0897	    0.2291	    0.1011	    0.0817	    371.05
 61	    0.0893	    0.2292	    0.0967	    0.0818	    371.03
 62	    0.0877	    0.2292	    0.0942	    0.0819	    371.03
 63	    0.0856	    0.2292	    0.0922	    0.0820	    371.02
 64	    0.0835	    0.2292	    0.0906	    0.0821	    371.01
 65	    0.0814	    0.2292	    0.0892	    0.0822	    371.01
 66	    0.0797	    0.2292	    0.0877	    0.0823	    371.00
 67	    0.0786	    0.2292	    0.0860	    0.0825	    370.99
 68	    0.0781	    0.2292	    0.0837	    0.0826	    370.97
 69	    0.0786	    0.2292	    0.0803	    0.0828	    370.96
Elapsed time is 5.916882 seconds.

Reporting

K = length(history.objval);

h = figure;
plot(1:K, history.objval, 'k', 'MarkerSize', 10, 'LineWidth', 2);
ylabel('f(x^k) + g(z^k)'); xlabel('iter (k)');

g = figure;
subplot(2,1,1);
semilogy(1:K, max(1e-8, history.r_norm), 'k', ...
    1:K, history.eps_pri, 'k--',  'LineWidth', 2);
ylabel('||r||_2');

subplot(2,1,2);
semilogy(1:K, max(1e-8, history.s_norm), 'k', ...
    1:K, history.eps_dual, 'k--', 'LineWidth', 2);
ylabel('||s||_2'); xlabel('iter (k)');