CS 101

Midterm Review

Announcements

Paper Information is Available Online

Logistics

Midterm

  • Thursday, May 10 in class
  • Covers first five weeks of lecture
  • Closed note, closed book, reference sheet will be provided

Plan for Today

  • High-Level Course Review
  • Go Over Reference Sheet
  • Examples

The Story So Far...

  • Computer Hardware
  • Data and Storage
  • Introduction to Code
  • Artificial Intelligence
  • Theory

The Story So Far...

  • Computer Hardware
  • Data and Storage
  • Introduction to Code
  • Artificial Intelligence
  • Theory

Computer Hardware

  • Strengths/Weaknesses of Computers
  • Introduction to Code (and bugs!)
  • Parts of a Computer
  • Machine Code
  • Operating System
  • Programming Languages
  • Open Source

Introduction to Hardware:
Parts of a Computer

Computer Abstractions

figure

The Operating System

figure
  • Starts running when the computer "boots up"
  • Manager/supervisor
    • Starting/stopping programs
    • Manages RAM, persistent storage, and other shared resources between programs
  • Can run multiple programs at once ("sandboxing")
  • Allows a computer to change over time (updates)
  • Other responsibilities:
    • File system
    • Manages windows
    • Some basic programs

The Story So Far...

  • Computer Hardware
  • Data and Storage
  • Introduction to Code
  • Artificial Intelligence
  • Theory

Data and Storage

  • Representing and Storing Data
  • Compression
  • Images

Pixels

figure
  • Pixel: one "cell" of an image
  • Each pixel is one color
    • Corresponds to one cell in CCD
  • Pixels are stored in a grid:

The Story So Far...

  • Computer Hardware
  • Data and Storage
  • Introduction to Code
  • Artificial Intelligence
  • Theory

Introduction to Code

  • For Loops
  • If Statements
  • Combining Conditionals
  • Image Filters
  • Spreadsheets and Data

The Story So Far...

  • Computer Hardware
  • Data and Storage
  • Introduction to Code
  • Artificial Intelligence
  • Theory

Artificial Intelligence

  • Machine Learning
  • Natural Language Processing
  • Artificial Vision
  • Robotics

AI: A Brief Overview

  • Input: data
  • Output: model used to make predictions
  • Predictions make it seem as if the computer is thinking
    • Makes guesses about new data

The Story So Far...

  • Computer Hardware
  • Data and Storage
  • Introduction to Code
  • Artificial Intelligence
  • Theory

Theory

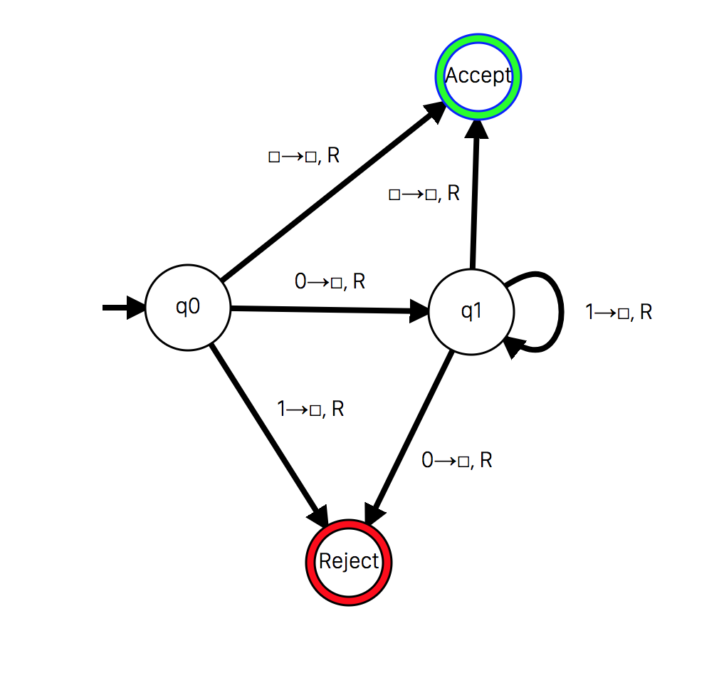
  • Turing Machines
  • Algorithms

Reference Sheet

Reference Sheet

Introduction to Code: Bugs

Two types: syntax and logic errors


 

Adding a Border


 

Tracing Through Code


 

Turing Machine