Texture Image Extrapolation for Compression

Sung-Won Yoon and Seong Taek Chung
EE368B, Stanford University

I. Introduction
II. Non-parametric Sampling
III. Estimation Using Subband Decomposition of Wavelet Coefficients
IV. Estimation by Induced Correlation
V. Conclusions


I.  Introduction

Image compression can be achieved if we can recover the whole image from partial descriptions of the image.  With only a fraction of the original information, the decoder can reconstruct the original image from this fractional information.  Our expectation is that the reconstruction of  the original image can be achieved with small loss by exploiting the inherent property of the original image.  We approach this problem with three different methods - non-parametric sampling, estimation using subband decomposition of wavelet coefficients, and estimation by induced correlation.  As a starting point, we will be using texture images because of its abundance in repetitive information that is more feasible for utilization.

II. Non-parametric Sampling by Pattern Matching

1. Motivation

We want to transmit as small amount of data as possible without worsening the quality of image significantly. In this section, as one of approach, we consider the case where texture with a hole is transmitted and a hole is filled up by pattern matching at the receiver. In fact this has been investigated in other literatures [1][2], but we extend this concept more here. What we do here is that we reconstruct the empty area by comparing the window around one pixel with other non-empty area. For example, in the figure below, we want to fill the red pixel. To find the value corresponding to this red pixel, we make a dotted red box and then do full search over the whole image to find the best matching blue dotted box.

Our target is to fill the empty area so that the resulting image approaches the original image.

 
 

2. Texture with a Big Chunk of Hole

First, we consider the case where a big hole exists in the texture. This hole is filled by pattern matching assuming Markov model on texture. Markov model assumption decides the size of the window. We just provide the result below. The result is different according to the size of window and the filling order. But generally, the reconstruction is too sensitive to the size of window, and the reconstructing time is too long. Good performance is shown when window size and the filling rotation is adequately chosen. But here we just show the bad results to emphasize the disadvantage of this method.
 
 
original image
image with half of its area as a hole
image reconstructed with 3 by 3 window 
<Fig.1>Texture with Big Chunk of Hole

3. Texture with Scattered Holes across the Image

Now, we consider the case where many holes are scattered across the image. As an extreme case we consider the case where only pixels with even row and even column are retained. (In other words, sub-sampled image is used.).  We assume a known patch of the whole or part of the basic pattern in the texture.  Estimation is done for every 'empty' pixel by block matching the valid pixels in the given image with the patch.  Newly estimated pixels are incorporated into the estimation as the process goes on.  Next figure shows the extrapolated image with a sufficiently large patch to cover the basic feature of the texture and the image where the patch does not fully cover the basic feature.  In both cases, satisfactory extrapolation is achieved with one fourth the information of the original plus the small patch infomation which becomes negligible as the image gets larger.  Note that in both cases, erroneous or minute deviation from the general feature of the pattern is lost or altered in the estimated images.
 
Original Image Extrapolated Image (patch hold the whole feature) : 23.1338 dB

 
Original Image Patch used Extrapolated Image :  20.8683 dB
<Fig.2> Evenly Spaced Texture Filling

4. Conclusion

 For the first method, performance is good when the window size and the reference is chosen cleverly, but the reconstruction time is generally long and the performance is not guaranteed for general sets of images.  For the subsampled case, even with a patch that does not hold the whole feature of the texture, it works well.  The content of the feature in the patch is also the major factor in the performance.

[Top]


III. Estimation Using Subband Decomposition of Wavelet Coefficients

1. Motivation

By use of subband decomposition of an image, any given image can be decomposed into 'bandpassed' images. In the Laplacian pyramid structure[3], as used in the predictive coding, original image is decomposed into approximate octave-width subband images. In the wavelet transform decomposition, the original image is decomposed into oriented spatial frequency bands (horizontal, vertical, and diagonal), which we will refer to as details.  In Fig.3, by exploting the correlation between C and B, we want to estimate the components in A.

Our target is to explore into using these decomposed subband images or transform coefficients to estimate unknown subband components.
 
<Fig.3> Ocatve-width Band Splitting

2. Model

Our model of the decomposition assumes the existence of spatial locality and self-similarity between subbands. Fig.4 and Fig.5 show the similar features within the subbands as images (or coefficient). These features are mainly the edges in the image, and they clearly show self-similarity and locality, only different in the scaling. By exploring these inherent similarities between subbands, we try to find a linear relation (we will explain this relation later) to estimate new subband pixels or coefficients. Under the assumption of the propagation of mapping relations between two adjacent subbands to a different pair of adjacent subbands, mapping found in one pair is used in the mapping of another.
 
L2 plane
L1 plane
L0 plane
<Fig.4> Laplacian Subband Images ("checkerboard", 3 level, gaussian 3X3 filter)
Detail 3
Detail 2
Detail 1
<Fig.5 >  Wavelet Transform Coefficients  ("checkerboard", diagonal details, 3 level decomposition, bior 2.2 filter)



When using the Laplacian pyramid structure or the wavelet decomposition, there is a decrease in the size of the plane(image) from subband to subband. For example, if the lowest Laplacian plane, L0, is of size N by N, then the next plane L1 is of size N/2 by N/2. Therefore, if we can estimate the L0 from a lowpass filtered image of size N/2 by N/2, we can achieve compression by transmitting only the N/2 by N/2 image and estimating the high frequency subband at the decoder.
Because there is a reduction of four to one from (higher frequency) subband to (next-lower frequency) subband, the reverse process of estimation involves one-to-many mapping[4]. Estimating from the (lower frequency) subband to (next-higher) subband requires each pixel in the lower subband (we will refer these pixels as the parent pixels) to predict 4 pixels in the higher subband (we will refer these pixels as the children pixels). Therefore, our model has each parent pixel associated with four functions that map the intensity value of the parent pixel to each of the children pixels, respectively. It is in finding these functions that define our 'relations' among subbands. Under the assumption of self-similarity of the pixels among subbands, the four functions were simplified in our model to scaling functions of the parent pixel value. In other words, the children pixel values are described by the pixel value of its parent times a scalar that characterizes the mapping from the parent to each child. The visual explanation of this paragraph is given in the next figure.
 
<Fig.6> One to Four Mapping between Subbands

3. Methodology

A. Laplacian Image Or Wavelet Coefficients

From the visual inspection of the three Laplacian plane images, there exists a strong similarity in the 3 images, differing only in spatial scale. This was the motivation behind the investigation of an image-based method in estimating the highest frequency plane.

On the other hand, wavelet transform coefficients are characterized by their similarity and locality we assumed in our model and thus fit perfectly as our source of experimentation. To have a better understanding of the structure of the wavelet transform coefficients and the inherent spatial similarities, experiment started with a simple synthetic image - checkerboard. This image has ideal horizontal, vertical, and diagonal structure. When a 3 level wavelet transform was used with biorthogonal filter of length 2.2, the resulting coefficients present a very simple structure and similarity.

Unlike the Laplacian images, the wavelet coefficients had a large different in the range of values from plane to plane. Normalization was necessary to correctly determine the scalar function mapping of each parent pixel to its children pixels. It was also needed for comparison of blocks in adjacent planes of the decomposition.
 

B. Procedure

Our experiment was done with texture images because of the abundance in the repetitive structure within the image that can be exploited in hopes of finding a good estimation mapping.  The general process goes as follows.
 
 
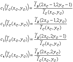
1) decompose input image - 3 levels (A, B, C)
2) normalize  and  by normalizing   factor  to get  and 
3) find the mapping from pixels in C to B
       .
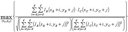
4) find the best match in the minimum MSE or maximum correlation sense  best matching pixel coordinate
        .
                                                     or
         .
5) if multiple best matches, find the one closest in Euclidean distance to the parent pixel
6) estimate the 4 children pixel of the current pixel in B
         .

C. Search Regions

Full area search was conducted to make more use of the repetitive structures in texture images.
 

3. Results

A.  Laplacian Images

In contrast to the apparent locality of features in the 3 subband images, there was a lack of similarity among subbands. As mentioned, the dominant features of the subband images are the edges which represent transition of pixel values. Inspecting a one dimensional slice, of a sharp edge, as shown in the Fig.7, there is a large difference in the slopes of the edge between subbands (Note also that the pixel ranges are doubled going from L2 to L1 and L1 to L0). L2 plane shows a gradual transition of the edge over a number of pixels, L1 plane shows a sharper transition, and L0 plane shows the sharpest transition existing over a small interval. This phenomenon can be explained by the frequency components each subband contains. Since the L2 plane contains the lowest frequency components of the three Laplacian planes, the lack of high frequency components result in the gradual transition. On the other hand, L0 plane contains the highest frequency components, and that explains the sharp transition describing an edge. Such an analysis can be extended in 2 dimension such as the subband images. Therefore, our assumption of similarity among subbands breaks down in the Laplacian image based approach, and a simple implementation of our proposed algorithm fails.
 
Slice in L2 Plane
Slice in L1 Plane
Slice in L0 Plane
<Fig.7> Slices in the Laplacian Image Planes

B.  Wavelet Coefficients

As shown in Fig.8, the wavelet coefficients of the ideal checkerboard image clearly show locality and similarities between different subbands. The proposed method works fairly well with this particular image although it has artifacts at the edges. These artifacts are mainly caused by the inaccurate magnitudes of the estimated pixel values after the normalization of the planes for processing.  Fig.9 show the resulting reconstructed image with the estimation (using minimum MSE or maximum correlation criteria) with the PSNR, respectively.  Since there was a  limited number of values for an ideal checkerboard image, Gaussian noise was added to the ideal image and the same process was carried out.  The resulting image had degradation compared to the ideal image, a drop of 5 to 6 dB in PSNR.
 
 Vertical Detail 3
 Vertical Detail 2
Vertical Detail 1
<Fig.8> Vertical Detail Coefficients of Wavelet Transform (bior 2.2)


Estimated Image (MMSE) :  24.3735 dB Estimated Image (Correlation) :  23.7204 dB

<Fig.9> Estimated Images of Ideal Checkerboard



Statistical characteristics of the coefficient values in each subband plane shows increase in the variance and range of values from the highest frequency subband(D1) to the lowest one(D3).  The range of the value increases because the D3 planes are formed after filtering 3 times as compared to a single filtering for the D1 planes. Since the wavelet transform is a filtering process, the coefficients are determined by the filter taps and neighboring pixels that are input to the filter. For this reason, ranges varied for different images and for different filters. This range difference between subbands was the major cause of error and difficulty. As mentioned, normalization was necessary to compare blocks in D2 and D3. It was also needed to determine the scalar factors in the parent to children mapping. Although efforts were made on figuring out the range differences, there was no general trend. Normalization by the dynamic range of coefficient pixels or the variance of the pixels in each plane were attempted, it did not improve the results when real texture images were used.  Another major problem was the near zero mean and the difference in variance from plane to plane.  Near zero values of the parent pixels were set to zero and consequently they were non-significant coefficients.  If near zero values were used in mapping and estimation, they resulted in erroneous large scaling coefficients, so they need to be set to zero.  Since the mean values of each plane was near zero and the variance decreased from D3 to D1, many valid mappings in D3-D2 pair were not being fully utilized in D2-D1 pair mapping due to the thresholding process described.  An appropriate tradeoff point was not available from experimentations.

The assumption of mapping propagation from one adjacent subband pair to another does not generally hold for texture images. Figure shows the horizontal detail planes (D1, D2, and D3) for a real texture image and an ideal dense checkerboard pattern image. From the visualization of the texture image coefficients, structure is very difficult to find in the D3 plane.  There is an increase in structure in D2 and D3 planes.  Thus, trying to find a mapping in the more unstructured coefficients to estimate more structured coefficient mapping results in a random like behavior of the estimation.  Even with the same checkerboard pattern differing only in the density of the patterns in the image, there is a noticeable difference in the wavelet coefficient decomposition. Specifically, due to lack of similarity in D3 and D2, the mapping of D3 to D2 would not be the same as from D2 to D1.  Therefore, a mapping acquired from D2 and D3 does not generally provide a correct mapping of the coefficients from D2 to D1 which is our source of estimation.
 
Horizontal Detail3 (Texture)
Horizontal Detail 2 (Texture)
Horizontal Detail 3 (Texture)
Horizontal Detail 3 (Checkerboard)
Horizontal Detail 2 (Checkerboard)
Horizontal Detail 1 (Checkerboard)

<Fig.10> Vertical Detail Coefficients of Wavelet Transform (bior 2.2)

4. Conclusion

Although there are visual similarities in the Laplacian image or the wavelet coefficients of subband decomposed image, the exploitation of those characteristics was not as obvious.  An appropriate model plays a major role in understanding the problem of one to four mapping between subbands under the assumption of similarity and locality.  With our simplified model, image-based approach to finding the mapping similarities among subband images was not feasible due to the characteristics of the bandpassed signals in spatial domain.  With the wavelet coefficients, similarity and locality fit into our model and we were able to get some results for a simple and ideal image.  But as we implemented on real texture images and different images, the estimation process was not satisfactory.  There are many complications involved that make the estimation process not a simple one.  The statistical characteristics of the coefficient values from one subband to another differs depending on the image as described in the results.  These difference hinder a good comparison of the block matching and the the properly ranged estimation of the estimated coefficients.  The assumption of propagation of mapping relations among two different pairs of subbands does not hold in general.  Therefore, the mapping from D3 to D2 does not necessarily estimate the coefficient values of D1 from D2.  This suggests a possible approach of determining the confined mapping from D2 to D1 in the statistical workframe. Due to limit of time allotted for this project, we did not have the chance to pursue any further into this matter.

[Top]


IV. Estimation by Induced Correlation

1. Motivation

What we tried in the previous section was to utilize the statistical correlation between each plane (image or wavelet coefficients). The previous results show that our approach doesn't yield satisfactory results. The main reason is due to the fact that even though we know the rough relation between upper plane and lower plane, the ignorance of exact statistical relation prevents us from approaching this problem effectively.
To solve this problem we have to understand the statistical relation of pixels between each plane. But to measure the statistical property of each image is a hard job. Especially looking for the statistical relation between wavelet transform coefficients requires a lot of computation.

Here we approach this basic problem with a new paradigm. Our basic problem is to reconstruct the original image well by transmitting only a fraction of the original image. So, rather than just using the planes provided by wavelet transform (or subsampling) with unknown statistics, we construct a new transformation in order to construct the set of layer where we can control the statistical relation between layers completely.
 

2. Procedures

We only consider the case where two planes exist. Upper plane (the pixel of which is represented as u) and lower layer (the pixel of which is represented as l ) is constructed. The system model is given as below.

The original block of image is given as vector x. u means the element of upper layer which is not transmitted while l means the element of lower layer which is transmitted. So here only the ratio of |l| (the length of vector l) over |y| (the length of vector y) is transmitted. Even though for notation's convenience we denote upper plane and lower plane, now these terms have no relationship with a real upper frequency and a real lower frequency. These planes are simply the ones constructed to our purpose, so relationship with physical frequency or space.

Our target in this system is to find the filter B which maximizes the PSNR at the end of receiver.
 
 

1. Eliminate the correlation between each component completely using KLT.

This step is necessary to make the correlation between each component under our control completely later by correlation filter, B. KLT means xKLT= A x , where A is the Hermitian of the eigenmatrix of the original image.
 

2. Put xKLT into an invertible filter B such that the correlation matrix of y ( =B xKLT ) has a "good" property.

Filter B should be invertible so the estimated image can be reconstructed later.
"Good" property means that the PSNR is maximized after estimating the original image using the "layer".
 

3. Choose l from y and transmit only l.

y=[y1, ..., yn, ..., ym] ( =B xKLT ) and our definition of layers are u=[y1,..., yn], l=[yn+1,..., ym]. So only (m-n)/m of the original image is transmitted.
 

4. Estimate u using l.

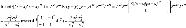
In order to maximize SNR, the mean square error between estimated u and real u should be minimized. From linear estimation theory that filter C=E[ulH](E[llH])-1 minimizes the mean square error. Then mean square error is tr(E[uuH]-E[ulH](E[llH])-1 E[luH]). So we have to find the matrix filter B so that tr(E[uuH])/tr(E[uuH]-E[ulH](E[llH])-1 E[luH]) is maximized.


 

5. Reconstruct xKLT using estimated y.
6. Reconstruct x.

So the next job is to find the filter B which maximizes the PSNR at the end of receiver.
 

3. Design of filter B

 
The estimation error for u is

.

So noise term at PSNR is the trace of the following matrix. 

 

To find the invertible matrix B to minimize the noise is very difficult job. So we could not solve this for general cases. Even though we could not solve this problem, this is very interesting problem since it will guide the systematic approach to construct the planes to reconstruct the original image by containing of a fraction of the image.

But for the case when n=1 and m=2, we could solve this problem.
 
Suppose

and
.

Then it could be found that  is minimized to 0 when ad-bc=0, which means B is not invertible. So we know that the global optimal solution resides in the non-invertible matrix. So we know that the optimal solution can't be found and "good" sub-optimal solution can increase the PSNR as high as we want as long as no computation error happens during the inverse process of B

Now the best approach we can do is to find the best-possible sub-optimal invertible solution. We found the two B below using our test images. More B could be tested, but this 2 matrixes indeed shows the general trend quite well.
 
 
General B Special B
One of the easiest solution is to set  when e is not 0. 

Then we can estimate u from l by multiplying l by 
.
And the corresponding noise term in PSNR is .

Experimentally we know that the energy concentration property of KLT is very good. (Indeed in terms of energy concentration property, KLT is the optimal of all the other transforms.). So even for different images, the noise term takes relatively stable value. 

For specific images we searched a good matrix filter B. Below is the filter B, which was designed for the first image in Section 4. Here we call this filter as a special filter.
 

4. Results

In this section as a comparison we compare the estimated image with the image reconstructed by interpolation of sub-sampled (only odd columns are taken) image. This is a fair comparison since both of them transmit only half of the original pixels.
Original Image Extrapolated Image with general B : 17.18 dB Extrapolated Image with special B : 19.8187dB Interpolated Image : 20.9868dB
<Fig.12> Estimated Images 1

In preserving the details of textures, this extrapolation method works much better than interpolation, but in preserving the intensity of the general shape, interpolation works better. By designing a special filter, B, the performance gets better. As we explained above, by spending more time in looking for the best filter B, the performance could improve.

Original Image Extrapolated Image with general B : 15.3313 dB Extrapolated Image with special B : 14.7275dB Interpolated Image : 12.7236dB
<Fig.13> Estimated Images 2

In this case, generally extrapolation cases work better than interpolation. That is because this image has a lot of high frequency component, so interpolation loses a lot of original image property. On the other hand, extrapolated image loses the property of original image rather equally through the whole images, so the degradation is spreaded over all frequencies. What is also notable is that in case of special filter, here this performs worse than general filter since the special filter was designed for the first texture above.

Original Image Extrapolated Image with general B : 29.2755 dB Extrapolated Image with special B : 32.2265 dB Interpolated Image : 33.6150 dB
<Fig.14> Estimated Images 3

From here we can see that this extrapolation method work for general images also. In case of interpolation, the high frequency component of image is lost, but in case of extrapolation, the jaggy effect appears on the edges. So it is hard to say what is better than the other.
 

5. Conclusion

As we could not consider the general case due to the lack of mathematical skill, we have to make conclusions based on limited cases. As shown in Section 4, we can find the generally reasonably working filter B.  If we do search for each image we could encounter good filter B we could beat the interpolation, but that filter B strongly depends on the kind of image. Even though we could not find a good B for all images, from Section 3, we know that good B which beats interpolated image exist theoretically.

Considering the small number of data that B and KLT filter has, the optimal way to transmit low rate image is to find a good B for each images, and then transmit only a fraction of image with a good B and KLT filter. As original image grows bigger, the overload of transmitting B and KLT filter becomes negligible.

[Top]


V. Conclusions


We carried out 3 different approaches to achieve compression for texture images.  The first approach was an experimentation and extension to the ideas in [1] and [2].  The second approach was an investigation into the utilization of correlation inherent among subbands, especially by use of wavelet transform coefficients.  Third approach was, to an extent, the reverse idea from the second - we try to control the correlation among the data.

We found out that for texture images, non-parametric sampling method proves a good method in its performance of achieving compression.  The drawback is the long computation time involved and the dependency of the window size in the implementation.

Contrary to the visual similarities of the wavelet coefficients images, there was lack of information to be can be shared between different pairs of subbands.  As a result, trying to find correlation between the highest two subbands from lower subbands relations does not yield fruitful results.  A statistical framework in the highest two subbands would be the natural step in further investigating into this approach.

Decorrelating the image pixels by KLT and inducing controlled correlation is a novel idea that proved to have benefits as well as pitfalls.  Though there were limitations due to lack of mathematical tool to find and elegant analytical form, this approach is also open to more investigation.
 

[Top]


References:

[1] Alexei A. Efros and Thomas K. Leung.  Texture Synthesis by Non-parametric Sampling.  IEEE International Conference on Computer Vision, September 1999.
[2] Li-Yi Wei and Marc Levoy.  Fast Texture Synthesis using Tree-structured Vector Quantization.  Proceedings of SIGGRAPH, 2000
[3] Peter J. Burt and Edward H. Adelson.  The Laplacian Pyramid as a Compact Image Code.  IEEE Transaction on Communications, April 1983.
[4] Alex Pentland and Bradley Horowitz.  A Practical Approach to Fractal-based Image Compression.  IEEE Data Compression Conference, April 1991

Appendix:

Section II: Seong Taek Chung
Section III: Sung-Won Yoon
Section IV: Sung-Won Yoon & Seong Taek Chung

[Top]