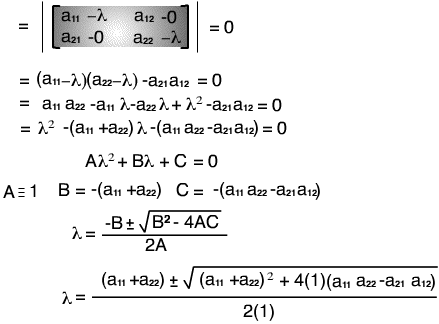
A.7b