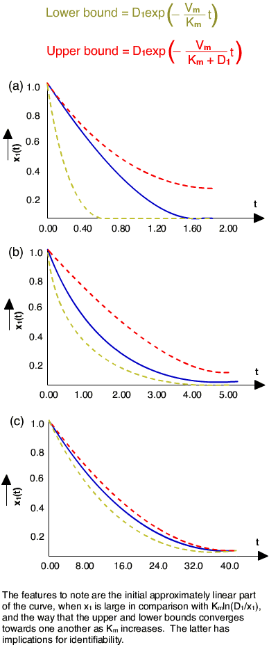
Thus, the linear bounds shown are:


C.5-b