The Mean


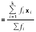
The mean is defined as the sum of all the observations divided by the number of observations.  When the Entire  population can be sampled (as in the case of our sphere population), the equation is given as:

Another way of expressing the same idea:

Animation


The next measure of central tendency that we will discuss is the Median.


  

1:6