Review of Descriptive Statistics


Statistic

Sample

Population

Measures
of Central
Tendency

Mean

Median

Middle Value; or the Average of the two middle values.

Mode

The Number(s) that occur most Frequently.
Measures of
Dispersion

Range

Difference between the Highest and Lowest numbers.

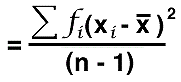
Variance

Standard
Deviation

The square root of
the variance
: S
The square root of the
variance
:

Skewness

The degree to which the Curve is Skewed to the Left or Right.

Kurtosis

Rate of Change of the Curve.

Standard
Error of
the Mean

N/A