Review of Hypothesis
Testing Procedures


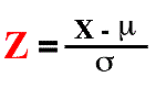
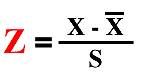
Relevant Statistic

Given Conditions

Relevant
Distribution

Equation

Population Mean

is known; pop.

is normally distributed

Standard

Normal

Population Mean

n > 30; or s

is known

Standard

Normal

Population Mean

n 30; pop. is

normally distributed

Student-t

Pop. Variance and

Standard Distribution

Population is

normally distributed

Chi-Square

Population Proportion

np 5; nq5

Standard

Normal