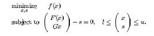
The upper and lower bounds on the m components of F and Gx are said to define the general constraints of the problem. SNOPT converts the general constraints to equalities by introducing a set of slack variables s, where s = (s1, s2 , ... , sm)T. For example, the linear constraint
5
2x1 +
3x2
+
;
is replaced by
2x1 + 3x2 - s1 = 0
together with the bounded slack
5
s1
+
; .
The problem defined by (1.1) can therefore be rewritten in the following equivalent form

The linear and nonlinear general constraints become equalities of the form
F(x) - sN = 0 and Gx - sL = 0,
where sL and sN are known as the linear and nonlinear slacks.