1996 Project Reports | Home | Contents | Previous | Next |


Cartilage Repair - effects of mechanical loading

R. Lane Smith, PhD; David J. Schurman, MD; Dennis R. Carter, PhD; Prajnan Das, BS; Joseph Lin, BS


Our studies address questions concerning the influence of mechanical loads on the rehabilitation of joint function. The goal is to develop important knowledge pertaining to the role of joint loading on articular cartilage injury, repair and regeneration. Our experimental studies have used two distinct mechanical loading regimens to influence cell metabolism. The overall hypothesis to be tested is that cartilage repair and regeneration will be stimulated by precise mechanical loading histories. The use of two loading regimens permits the delineation of the effects of hydrostatic versus distortional loads on cartilage.


Effects of Hydrostatic Pressure

These studies tested the hypothesis that hydrostatic pressure applied at magnitudes reached in the intact joint would modulate cartilage extracellular matrix synthesis.

Hydrostatic pressure (10 MPa) was applied to high density chondrocyte cultures or full thickness cartilage explants for variable periods of time. Cultures were carried maintained in serum-free medium. Cartilage matrix synthesis was quantified by uptake of radioactive sulfate into glycosaminoglycan. In some experiments, the time for application of hydrostatic pressure was 4 hours and at the conclusion of the loading period, total RNA was isolated from the cells for analysisof aggrecan core protein mRNA and type II procollagen mRNA. Matrix accumulation around the cells was determined by immunohistochemistry.

Loading the cartilage explants with intermittent hydrostatic pressure stimuated glycosaminoglycan synthesis by 37% (p<0.05) compared to the control within 12 hours of loading. Continued loading at 24, 48 and 72 hours of exposure resulted in glycosaminoglycan synthesis increasing to 32%, 55% and 64%, respectively, relative to the unloaded control explants (p<0.05).

Analysis of aggrecan and collagen mRNA showed that application of intermittent hydrostatic pressure for four hours was sufficient to stimulate small but significant increases in the mRNA signal levels. In addition, immunohistochemical data showed that aggrecan and type II collagen detection as cell-associated material was increase with the application of hydrostatic pressure.

The results of our studies confirm that chondrocytes respond to the application of hydrostatic pressure through an increased synthesis of extracellular matrix macromolecules and by an increase in the association of the newly synthesized material with the cells in culture. These data suggest that hydrostatic pressure may be instrumental in the repair and regeneration of the cartilage extracellular matrix.


Effects of Fluid-Induced Shear Stress

The goal of these studies was to apply variable levels of shear stress to articular chondrocytes in vitro to test the hypothesis that the cells may react to shear stress via signal transduction signaling pathways. The studies used biochemical and molecular biological markers of cartilage metabolism to screen for early cellular events that may precede onset of cartilage degradation.

These studies tested the specific hypothesis that articular chondrocytes would release NO as a function of duration and magnitude of flow-induced shear. The effects of inhibitors of NOS, G proteins, PLC, and potassium and calcium channels on the induction of NO release and on the shear induced upregulation of GAG synthesis were also characterized.

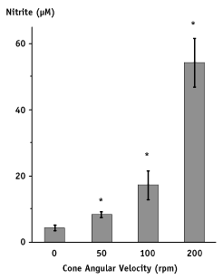
Shear stress was administered by exposing the high density chondrocyte cultures to continuous laminar fluid flow using a cone viscometer. A 95 mm diameter cone having a cone angle of 0.5 degrees was rotated in culture medium with the rotation rate maintained by electronic motor controller. When the cone was rotated at 200 revolutions per minute (rpm), the flow-induced shear ranged from 1.64 Pascals near the center of the cone to 1.93 Pascals at the edge of the cone. Similarly when the cone was rotated at 50 and 100 rpm, the flow induced shear ranged from 0.41 to 0.42 Pascals and from 0.82 to 0.87 Pascals respectively.

The cells were exposed to flow-induced shear for varying intervals of time, ranging from 2 hours to 24 hours. Control cells were not exposed to shear, but were maintained under identical culture conditions. In some experiments, control and experimental cells were treated with inhibitors of the potassium channel, the calcium channel, the G protein pathway, phospholipase C or nitric oxide synthase. The concentration of nitrite, the stable end-product of NO oxidation was used as an indicator of NO release. Nitrite concentration in the culture medium was measured spectrophotometrically using sodium nitrite as a standard.

Release of NO by articular chondrocytes depends on duration and magnitude of shear. Articular chondrocytes showed an increase in NO release with the duration of flow-induced shear (Fig. 1). A 5-fold increase in NO release occurred within 4 hours of shear compared to unsheared controls (p<0.01). After 24 hours of shear, NO release was 18-fold compared to controls. NO release also increased with the magnitude of flow-induced shear stress (Fig. 2). At a cone angular velocity of 50 rpm (0.41-0.42 Pascals shear stress), chondrocytes exposed to shear exhibited a 2-fold increase in the release of NO compared to unsheared controls after 24 hours (p<0.01). At 100 rpm (0.82-0.87 Pascals) and 200 rpm (1.64-1.93 Pascals), a 2-fold (p<0.05) and 6-fold (p<0.05) increase in NO release occurred, respectively, when compared to the release at 50 rpm.

Bar chart

Figure 1. Time dependent NO release from articular chrondrocytes in response to shear.

NO production in response to shear was inhibited by nitric oxide inhibitors but remained unaffected by pertussis toxin, neomycin, TEA, or verapami. However, NOS inhibitors, pertussis toxin and neomycin, but not TEA or verapamil, inhibited the shear-induced increase in GAG synthesis. The phospholipase C inhibitor, neomycin, also inhibited GAG synthesis in the absence of flow-induced shear.

Bar chart

Figure 2. Effects of magnitude of shear stress on NO release.

These data show that shear stress modulates chondrocyte metabolism via increased production of NO and that NO synthesis, G protein activation and PLC activation are all involved in shear induced changes in chondrocyte matrix metabolism. The results suggest that the chondrocyte response to shear stress occurs through specific signal transduction reactions and that regulation of these pathways may influence cartilage repair and regeneration.


Republished from the 1996 Rehabilitation R&D Center Progress Report. For current information about this project, contact: R. Lane Smith.

Button Bar

People Projects Publications Resources Home