Chemical Literature (Chem 184/284)
University of California at Santa Barbara
Lecture 5: Beilstein and Gmelin
Beilstein and Gmelin
- These two series represent attempts to gather into data collections every piece
of significant information in the organic and inorganic literature, respectively.
- While both began in the 1800’s in Germany, they take significantly different
approaches to organizing their data.
Beilstein Handbook of Organic Chemistry
(Ref QD 251 .B4)
- Begun in 1880’s by Friedrich Konrad Beilstein.
- Went through three complete editions before the current series began in 1918.
- Most of Beilstein is in German; the current (5th) supplement is in English.
- For more information on the history of the handbook, see the
Beilstein Home Page
introduction to the printed handbook at http://www.beilstein.com/products/handbook/handbook.html.
Organization of Beilstein
- Beilstein attempts to cover the entire organic chemical literature published within a
given period:
- When dealing with such a huge volume of literature, the organization of such a work is
necessarily complex.
- The Beilstein handbook is divided chronologically, then, within each period, divided by
a chemical classification scheme.
- Chronological Organization
- Hauptwerk (H) “Basic Series” Up to 1909
- Ergangzungswerk (E) “Supplement”
- E(I) — 1910–1919
- E(II) — 1920–1929
- E(III) — 1930–1949
- E(IV) — 1950–1959
- E(V) — 1960–1979
- E(III) and E(IV) overlapped in production, so their heterocycle volumes were merged.
- Organization by Chemical Class
- Beilstein records are for individual compounds. To facilitate browsing, related
compounds are grouped into “volumes” (which may occupy several physical books).
- The classification rules remain constant for all supplements, so if a compound is
found in Vol. 22 in (H), it's in Vol. 22 in all the supplements as well.
Details of Chemical Class Organization
- To use Beilstein in print, it is necessary to know how compounds are placed into volumes.
- While there are indexes for the Handbook, they are divided by volume as well!
- The three largest divisions are:
- Acyclics (e.g. methane, ethane) in Volumes 1-4
- Isocyclics (e.g. cyclooctane, benzene) in Volumes 5-16
- Heterocyclics (e.g. pyridine, THF) in Volumes 17-27
- Within the three broad groups, compounds are assigned to volumes based on the
functional groups present, such as: -OH, -COOH, =O, -NH2
- In heterocycles, the number and type of ring heteroatoms is also relevant.
- See the table below for a complete summary.
Contents of the 27 Volumes of the Beilstein Handbook
| Type of Parent Compound |
Specific Functional Groups |
Beilstein Volume Numbers |
| Acyclics |
Isocyclics |
Heterocyclics
Type and number of ring heteroatoms |
| 1 O |
2+ O |
1 N |
2 N |
3+ N |
N+O or
other
heteroatoms |
| Compounds without functional groups |
1 |
5 |
17 |
19 |
20 |
23 |
26 | 27 |
| Hydroxy compounds |
-OH (any number) |
6 |
21 |
| Oxo compounds |
=O (any number) |
7 |
24 |
| =O plus -OH |
8 |
18 |
25 |
| Carboxylic acids |
-COOH (any number) |
2 |
9 |
22 |
| -COOH + -OH, =O or both |
3 |
10 |
| Sulfinic acids |
-SO2H |
4 |
11 |
| Sulfonic acids |
-SO3H |
| Selenium, tellurium acids |
-SeO2H, -SeO3H, -TeO2H |
| Amines |
-NH2 (only one) |
12 |
-NH2 (two or more)
or -NH2 + -OH |
13 |
| -NH2 + =O or -COOH, etc. |
14 |
| Hydroxylamines |
-NHOH, -N(OH)2 |
15 |
| Hydrazines |
-NHNH2 |
| Azo compounds |
-N=NH |
16 |
| Diazonium compounds |
-N2+ |
| Groups of three or more N |
-NHNHNH2, -N(NH2)2, etc. |
| C bonded to P, As, Sb, Bi |
-PH2, -PO2H, etc. |
| C bonded to Si, Ge, Sn, Pb |
-SiH3, -SnH3, etc. |
| C bonded to Group A1-A3 |
-BH2, -MgX, etc. |
| C bonded to transition metals |
-Ti, -Pt, -Hg, etc. |
Organization within Volumes
- Within each volume, compounds are arranged first in order of increasing unsaturation,
e.g. ethane before ethene before ethyne.
- Then, by increasing molecular size, e.g. ethane before propane before butane.
- Then by:
- increasing degree of substitution,
- increasing “size” of substituents.
Choosing Between Possible Volumes
- If a compound might be placed in two or more possible volumes (e.g. it contains both
a heterocyclic and an isocyclic component), then additional rules apply.
- Principle of Latest Entry — If a compound might be located in two or more places,
it will appear in the highest numbered volume of the possibilities.
- Parent Compounds vs. Derivatives — Certain types of compounds are considered
parent compounds; others as derivatives. A derivative is listed following the parent
compound from which it is derived.
- The trick then becomes how to identify which is the “parent” for the
compound in question.
Identifying Parent Compounds
- Three rules are used to identify parents vs. derivatives.
- Non-Functional Substitution
- Certain groups are always considered derivative:
- Halogens (F, Cl, Br, I)
- Nitro (NO2), Nitroso (NO), Azido (N3)
- The parent compound is determined by replacing the group with H or OH, depending
on chemical common sense:
- CH3CH2Cl → CH3CH3 …but…
- CH3COCl → CH3COOH
- “Chalcogen Substitution”
- Sulfur, selenium and tellurium are “replaced” by oxygen to find the
parent compounds, except in the oxyacid groups (e.g. -SO3H, -SO2H)
- Me2S is considered a derivative of Me2O
- Thiophene is considered a derivative of furan.
- Functional Substitution
- Whenever two “pieces” of a compound are connected by a heteroatom
(O, N, S, etc.), break it up by formal hydrolysis.
- The resulting fragment with the “latest entry” becomes the parent
compound of the starting compound. Example:
- MeCOOMe → MeCOOH + MeOH
- Acetic acid is Vol.2; Methanol is Vol. 1
- Therefore Methyl acetate is Vol. 2.
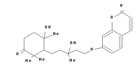
- Another example: Feropolone (C24H32O6)
- Step 1: “Hydrolyze” at the oxygen in the bridging chain.

- Step 2: Check which key features each fragment has
- Left: Isocycle with oxo, two hydroxy groups → Volume 10
- Right: Heterocycle with one ring O, oxo and hydroxy groups → Volume 18
- By Principle of Latest Entry, the fragment which appears in Volume 18 controls
the entry for the compound as a whole.
- Step 3: Go to Volume 18 and check the appropriate name or formula index.
- For more detailed description and more examples, see How to Use Beilstein,
SEL Ref Area QD251.B43 B45 1978.
- Remember to always use the easy way when you can! Many sources, including the Aldrich
Catalog, CRC Handbook, HODOC, Merck Index, etc. give references to the Beilstein
Handbook and their indexes are easier to use! Note that they will usually only give the
reference for one of the supplement series—but once you have the basic volume,
tracking the compound to its other Beilstein references is easy.
Beilstein Record Content
- A compound record in Beilstein will cover all the published data on the compound
within the appropriate period.
- Therefore, the amount of information in a given compound’s record is dependent
on the amount of research done; old data is not repeated.
- Example: Pyridine, in E(V) 1960-79, has a 19 page entry, plus an additional
38 pages of salts and addition compounds.
- Some physical data—mp, bp, density, etc.—is given directly.
- Preparations are summarized.
- References only are given for some info.
- Remember that in H-E(IV), all text is in German. Also, in those volumes, journal
abbreviations are in Beilstein style, e.g. B for Chemische Berichte,
Am. Soc. for JACS
- If you need help with the German terms/abbreviations, see the
Beilstein dictionary
at http://library.stanford.edu/depts/swain/beilstein/bedict1.html.
A print copy is available at the SEL Reference Desk.
The Many Faces of Beilstein
- Currently, incoming data from the organic literature is being published in several forms:
- Current Facts in Chemistry
- CD-ROM product, searchable by name, numeric data or chemical structure
- Each disc covers the preceding twelve months. Quarterly updates; subscribers
may retain the end-of-the-year backfile disks.
- Beilstein Online
- Available on STN and DIALOG online systems.
- Searchable by chemical name, numeric data and chemical structure.
- Includes checked data from H-E(IV), unchecked data from E(V), plus new data
from two years before the current Current Facts disk.
- Online versions of Beilstein have the advantage of crossfile searching with
other chemical information files (e.g. Chemical Abstracts, CA Registry File).
- CrossFire
- CrossFire is a subscription only client-server electronic version of the Beilstein
database, containing all up-to-date Beilstein data.
- Searchable by names, structures, data, with special features for searching
reactions, cross-references.
- Very fast, very powerful.
- New versions of CrossFire can be purchased with added features, such as
special reaction searching
or searchable
abstracts
for literature since 1980.
- The future of printed Beilstein
- The E(V) Heterocycles are projected to be complete in 1996-1997
- The rest of E(V) is projected to be completed in about 2001.
- It is not yet known whether there will be a printed E(VI).
Gmelin Handbook of Inorganic and Orgamometallic Chemistry
(Ref QD 151 .G52)
- Begun in 1817 by Leopold Gmelin, it went through seven editions before the current
on began in 1924.
- Originally focused on classic inorganic; organometallic was recently added to the
title to reflect the vast growth of the latter field.
- Volumes before 1980 are in German; volumes since 1980 are in English.
- The future of the Gmelin Handbook is in doubt; no new volumes have been published
since 1996 because of a cutoff of funding from the German government.
Organization of Gmelin
- Gmelin publishes volumes entirely according to editorial choice, reflecting mainly
the volume of research in a given area since the last such volume.
- Gmelin does not attempt to cover chronological periods in a block. Each volume is
devoted to a particular aspect of the chemistry of a single element, with a specified
closing date. Examples:
- Magnesium has had eight volumes published—none since 1952.
- Iron has had over 30 volumes on its organometallic chemistry since 1974, with
eleven volumes on ferrocenes alone!
- Uranium has special volumes on nuclear fuel behavior, extraction and
purification.
- Under oxygen: water desalination
Choice of Primary Element
- Gmelin uses its own Principle of Latest Entry. Whichever is the “latest”
element in the compound is one chosen.
- The general order of preference is:
- “Noble gases”: He, Ne, Ar, Kr, Rn in one volume.
- Hydrogen
- Oxygen
- Nitrogen (except ammonium compounds, see below, between K and Rb)
- Halogens: F, Cl, Br, I, At
- Group VIA: S, Se, Te, Po
- Group VA: P, As, Sb, Bi
- Boron
- Silicon
- Group IA: Li, Na, K, NH4+, Rb, Cs, Fr
- Group IIA: Be, Mg, Ca, Sr, Ba, Ra and IIB: Zn, Cd, Hg
- Group IIIA: Al, Ga, In, Tl
- Sc, Y, Lanthanides
- Group IVA: Ge, Sn, Pb and Group IVB: Ti, Zr, Hf plus Th
- Group VB: V, Nb, Ta, plus Pa
- Group VIB: Cr, Mo, W, plus U
- Mn
- Group VIII: Fe, Co, Ni, Ru, Rh, Pd, Os, Ir, Pt
- Group IB: Cu, Ag, Au
- Tc, Re, transuranics
- Volume Examples:
- NaCl — Sodium is Vol. 21; Chlorine is Vol. 6. Therefore, Vol. 21
- Ferrocene — Carbon is Vol. 14; Hydrogen is Vol. 2; Iron is Vol. 59.
Therefore Ferrocene appears in Vol. 59
- (NH4)2Cr2O7 — Chromium is Vol 52; Ammonium gets its own volume, 23:
Oxygen is Vol. 2. Therefore: Vol. 52.
- For a list of recently published volumes, check the
Springer-Verlag publishers Gmelin site
at http://www.springer-ny.com/catalog/gmelin/gmelin.htm.
Indexing in Gmelin
- Gmelin has comprehensive formula indexes, in three parts: 1924-74, 1974-79, and 1980-87.
The index for 1988-1992 is now being published.
- Formulas are listed alphabetically using an inverted form of Hill notation
- If no carbon is present, all elements in alphabetical order: e.g. ClNa, H2O4S
- If carbon is present, then all other elements first, followed by carbon and
hydrogen if any.
Electronic Forms of Gmelin
- Gmelin is available online commercially from STN. It is searchable by names,
formula, physical properties and structures.
- Gmelin is also available in client-server form on the
CrossFire
system with similar search capabilities.
- Neither electronic form contains the full text of the printed version, but instead
concentrate on specific types of data (physical data, preparations, etc.)
This page created by
Chuck Huber (huber@library.ucsb.edu).