Contents

% Sparse inverse covariance selection with Gaussian samples

Generate problem data

randn('seed', 0);
rand('seed', 0);

n = 100;   % number of features
N = 10*n;  % number of samples

% generate a sparse positive definite inverse covariance matrix
Sinv      = diag(abs(ones(n,1)));
idx       = randsample(n^2, 0.001*n^2);
Sinv(idx) = ones(numel(idx), 1);
Sinv = Sinv + Sinv';   % make symmetric
if min(eig(Sinv)) < 0  % make positive definite
    Sinv = Sinv + 1.1*abs(min(eig(Sinv)))*eye(n);
end
S = inv(Sinv);

% generate Gaussian samples
D = mvnrnd(zeros(1,n), S, N);

Solve problem

[X, history] = covsel(D, 0.01, 1, 1);
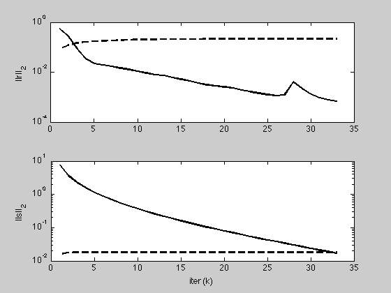
iter	    r norm	   eps pri	    s norm	  eps dual	 objective
  1	    0.5604	    0.0878	    7.6521	    0.0156	     66.74
  2	    0.2677	    0.1230	    3.6651	    0.0176	     47.97
  3	    0.0890	    0.1453	    2.2727	    0.0181	     41.51
  4	    0.0341	    0.1608	    1.5731	    0.0182	     38.54
  5	    0.0223	    0.1720	    1.1563	    0.0183	     36.98
  6	    0.0193	    0.1806	    0.8831	    0.0183	     36.08
  7	    0.0168	    0.1872	    0.6927	    0.0183	     35.54
  8	    0.0147	    0.1924	    0.5544	    0.0183	     35.19
  9	    0.0126	    0.1967	    0.4507	    0.0183	     34.97
 10	    0.0110	    0.2001	    0.3710	    0.0183	     34.82
 11	    0.0092	    0.2029	    0.3087	    0.0183	     34.71
 12	    0.0079	    0.2053	    0.2592	    0.0183	     34.64
 13	    0.0074	    0.2072	    0.2192	    0.0183	     34.59
 14	    0.0060	    0.2088	    0.1867	    0.0183	     34.55
 15	    0.0051	    0.2102	    0.1600	    0.0183	     34.52
 16	    0.0044	    0.2114	    0.1378	    0.0183	     34.50
 17	    0.0036	    0.2124	    0.1192	    0.0183	     34.48
 18	    0.0031	    0.2132	    0.1036	    0.0183	     34.47
 19	    0.0028	    0.2140	    0.0904	    0.0183	     34.46
 20	    0.0025	    0.2146	    0.0792	    0.0182	     34.46
 21	    0.0023	    0.2151	    0.0696	    0.0182	     34.45
 22	    0.0019	    0.2156	    0.0613	    0.0182	     34.45
 23	    0.0016	    0.2160	    0.0542	    0.0182	     34.44
 24	    0.0014	    0.2163	    0.0480	    0.0182	     34.44
 25	    0.0013	    0.2166	    0.0426	    0.0182	     34.44
 26	    0.0011	    0.2169	    0.0379	    0.0182	     34.44
 27	    0.0012	    0.2171	    0.0337	    0.0182	     34.44
 28	    0.0040	    0.2173	    0.0299	    0.0182	     34.44
 29	    0.0021	    0.2175	    0.0265	    0.0182	     34.44
 30	    0.0013	    0.2177	    0.0236	    0.0182	     34.43
 31	    0.0009	    0.2178	    0.0211	    0.0182	     34.43
 32	    0.0008	    0.2179	    0.0188	    0.0182	     34.43
 33	    0.0007	    0.2181	    0.0169	    0.0182	     34.43
Elapsed time is 0.388161 seconds.

Reporting

K = length(history.objval);
X_admm = X;

h = figure;
plot(1:K, history.objval, 'k', 'MarkerSize', 10, 'LineWidth', 2);
ylabel('f(x^k) + g(z^k)'); xlabel('iter (k)');

g = figure;
subplot(2,1,1);
semilogy(1:K, max(1e-8, history.r_norm), 'k', ...
    1:K, history.eps_pri, 'k--',  'LineWidth', 2);
ylabel('||r||_2');

subplot(2,1,2);
semilogy(1:K, max(1e-8, history.s_norm), 'k', ...
    1:K, history.eps_dual, 'k--', 'LineWidth', 2);
ylabel('||s||_2'); xlabel('iter (k)');