Kinetics Solutions: #5

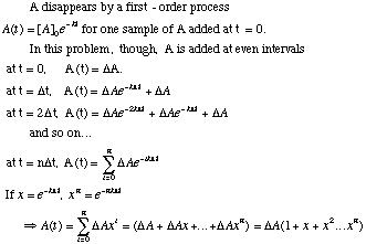
5.* (1995 F 11) In many contamination processes, the contaminating species A dissappears by first-order kinetics with a rate constant k in the process given by .

A. Suppose that a constant quantity DA of the contaminant A is added at regular intervals of time Dt starting at time t=0. Show that the contaminant in the system builds up in time as the sum of the geometrical progression
[A(t)]=
DA (1+ x + x2 + x3 + x4 . . .) (1)
where
x=exp(-k
Dt) (2)

B. The following information is useful. The sum of the series
[An]=
DA(1-xn+1)/(1-x) (3)
after a time t=n
Dt (4)

As n --> infinity, Eq. 3 becomes
[A(infinite time)]=
DA/(1-x) (5)

Suppose that a freshman, dismayed by the dorm food offerings, elects to eat 200 g of tuna fish every day. Suppose that the tuna fish provided by Food Service contains 1.0 part per million by weight of mercury. The half-life for elimination of mercury from the body is 70 days, and the toxic threshold where symptoms of mercury poisoning appear is 0.014g. Calculate the grams of mercury in our tuna addict at the end of freshman year, taken as 240 days. Is our tuna-fish-salad lover in any danger of becoming sick?

Note: full credit was given for using the approximation

even though the answer was off by about 8%.