Polymers Solutions: #5

5.* (1996 3 3) Write in turn the stereochemical structures of isotactic, syndiotactic, and atactic polypropylene. Indicate which form is the most stable in solution (has the lowest free energy) and which would have the lowest melting point. Briefly explain your answer.

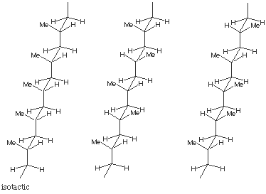
On the far left is isotactic polypropylene. Notice that all of the methyl groups are on the same side of the chain. This is the most ordered and therefore the most crystalline of the three polymers. It will have the highest melting point, which also indicates that it will have the lowest DG of solvation because it's stable to begin with.

The atactic extreme will have the lowest melting point and highest DG of solvation.