Thermodynamics Solutions: #11

11.* (1996 3 6) You are given the following reactions with their standard potentials as shown.

Reactions

Voltage

 

1=+1.57V

2=+1.23V

3=????V

(1)

(2)

(3)

A. Find E°3.

We can add add half-reaction (1) and the reverse of half-reaction (2) to obtain reaction (3), but because we are dealing with half-reactions, we cannot simply add the voltages afterwards. We must convert to free energy units. DG° is a state function, but DE° is not.

1=+1.57V

2=-1.23V

3=???V

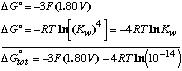
Doing the calculation in terms of free energy (DG=-nFEo):

B. What is E°4 for the same reaction as (3) but run under basic conditions rather than acidic conditions? The new half reaction is:

4=????V

(4)

 

We can obtain reaction (4) by adding reaction (3) to the equation H2O–>H++OH-:

 

Because G°=-nFE°,