Thermodynamics Solutions: #24

24.* (1994 3 6)

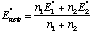
A. Show that .

  1. Calculate the standard reduction potential for
, given the following information.

Half cell reaction

Standard potential

Fe(II) + 2e- à Fe

-0.41

Fe(III) + e- à Fe(II)

+0.77