Thermodynamics Solutions: #25

 

25.* (1993 F Part I 8) Du Pont has developed a process for producing dilute aqueous hydrogen peroxide by hydrogenating oxygen over a palladium catalyst.

A. Their engineers had to be careful about the materials in the reactor and product storage tank. The choices were stainless steel (containing Fe, Cr, and Mn) or glass. Which material did they choose? Explain using redox data. Your explanation should be quantitative.

Some redox potentials:

Half reaction

Standard reduction potential

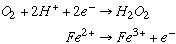
Fe3+ + e- --> Fe2+

0.77V

Cr3+ --> Cr2+

-0.50V

Mn2+--> Mn

-1.18V

O2 + 2H+ + 2e- -->H2O2

0.69V

 

They must use glass because metals in various oxidation states can interfere with the reaction, as shown below.

•Iron can oxidize H2O2 to O2:

E=+0.77V

E=-0.69V

E(total) =0.08V

•Reduction of H2O2 can oxidize most metals, including Fe2+ and Mn2+:

E = +1.78V

E = -0.77V

E(total) > 0

   

B. Demonstrate that the Du Pont process does not violate thermodynamics.

Adding the oxidation and reduction half-reactions for H2 and O2:

E=+0.69V

E = 0.0V (standard hydrogen electrode)

E(total) = +0.69V, so it’s spontaneous