Thermodynamics Solutions: #31

31.* (1992 2 6)

A. Using the standard reduction potentials below, deduce the standard potential of the following reaction which occurs in aqueous solution: 2Fe3+ + 2I- --> Fe2+ + I2.

I2 + 2e- --> 2I-

0.5355V

2Fe3+ + e- --> Fe2+

0.771V

-0.5355V

+0.771V

+0.2355V

Note: It is OK to add voltages in this case because we are dealing with a balanced reaction. However, if we were dealing with a half-reaction, you'd have to convert to free energy values. (DGo=-nFEo)

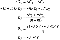
B. Using the standard reduction potentials below, deduce the standard potential of the reduction of Cr(III) to Cr metal.

E1=-0.424V

E2=-0.90V

E3=????V

This is a half-reaction, so we have to convert to free-energy values: