Thermodynamics Solutions: #36

36.* (1990 F 2)

A. Illustrate with a balanced equation a reaction with negative enthalpy change and a positive entropy change:

Some examples:

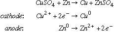
C. Use equations to illustrate a reaction which can be carried out directly or electrochemically: