Converting from a Normal
Curve to the z-Distribution


Table of z-Distribution

In order to utilize the table, it is necessary to convert the information of any given Normal Curve to the Standard Normal Curve,  = 0; s = 1.  The table is entered with the value z (the converted X value), and gives the cumulated area.
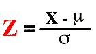
The equation for z is as follows:

Note that z is dependent on the population constants' mean and standard deviation.  In essence, z is the deviation of x from the Mean measured in units of Standard Deviation.  The same equation can be used for any value of mu and theta of a population that follows the Normal Curve.

z-Distribution and our UCLA population


  

2:5