Due Friday, July 14 at 4:00 pm Pacific
Solutions are available!
This second problem set explores mathematical logic and dives deeper into formal mathematical proofs. We've chosen the questions here to help you get a more nuanced understanding for what first-order logic statements mean (and, importantly, what they don't mean) and to give you a chance to practice your proofwriting. By the time you've completed this problem set, we hope that you have a much better grasp of mathematical logic and how it can help improve your proofwriting structure.
Before attempting this problem set, we recommend that you do the following:
- Familiarize yourself with the online Truth Table Tool and play around with it a bit to get a feel for the propositional connectives.
- Read the online Guide to Negations and Guide to First-Order Translations.
- Read the First-Order Translation Checklist to get a better sense for common errors in first-order logic translations and how to avoid them.
Good luck, and have fun!
Starter Files
Here are the starter files for the problems you'll submit electronically:
Unpack the files somewhere convenient and open up the bundled project.
If you would like to type your solutions in $\LaTeX$, you may want to download this template file where you can place your answers:
Problem One: Interpersonal Dynamics
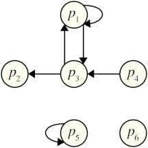
Consider the following diagram:
If there's an arrow from a person $x$ to a person $y$, then person $x$ loves person $y$. We'll denote this by writing $Loves(x, y)$. For example, in this picture, we have $Loves(p_4, p_3)$ and $Loves(p_5, p_5)$, but not $Loves(p_4, p_1)$.
There are no âimpliedâ arrows in this diagram. For example, although $p_1$ loves $p_3$ and $p_3$ loves $p_2$, the statement $Loves(p_1, p_2)$ is false because there's no arrow from $p_1$ to $p_2$. Similarly, even though $p_4$ loves $p_3$, the statement $Loves(p_3, p_4)$ is false because there's no arrow from $p_3$ to $p_4$.
Below is a series of first-order logic statements. Some are true, and some are false. Your task is, for each false statement, to tell us the smallest collection of arrows that need to be added to the diagram in order to make the statement true.
This problem is autograded. Download the starter files for Problem Set Two and extract them somewhere convenient. Youâll enter your answers into the file res/Interpersonal.dynamics. Specifically, do the following:
- For each true statement, answer
true. - For each false statement, tell us who needs to love whom to make the formula true. Your answer needs to use the smallest number of additional loves relations to receive full credit.
You can use the local âRun Testsâ button to check your work locally, or submit to Gradescope. As with Problem Set One, you can submit as many times as youâd like; weâll only grade your last submission.
Weâve included answers to the first three of these questions as a reference; you need to fill in the rest.
-
$Loves(p_1, p_3)$
-
$Loves(p_3, p_4)$
-
$Loves(p_1, p_2) \land Loves(p_2, p_1)$
-
$Loves(p_1, p_2) \lor Loves(p_2, p_1)$
-
$Loves(p_1, p_1) \to Loves(p_5, p_5)$
-
$Loves(p_1, p_2) \to Loves(p_4, p_3)$
-
$Loves(p_1, p_3) \to Loves(p_3, p_6)$
-
$Loves(p_1, p_4) \to Loves(p_4, p_5)$
-
$Loves(p_1, p_4) \leftrightarrow Loves(p_2, p_3)$
-
$Loves(p_1, p_3) \leftrightarrow Loves(p_5, p_5)$
-
$\forall x. \exists y. Loves(x, y)$
-
$\forall x. \exists y. Loves(y, x)$
-
$\forall x. \exists y. (x \ne y \land Loves(x, y))$
-
$\forall x. \exists y. (x \ne y \land Loves(y, x))$
-
$\exists x. \forall y. Loves(x, y)$
-
$\exists x. \forall y. (x \ne y \to Loves(x, y))$
Problem Two: Propositional Completeness
In this problem, youâll explore some redundancies within the language of propositional logic.
This problem is autograded. Edit res/PropositionalCompleteness.proplogic with your answers. Thereâs information inside the file with information about how to structure your answer. Briefly, if the online Truth Table Tool can understand your answer, so can our autograder. As usual, feel free to submit as many times as youâd like; weâll only grade your last submission.
In lecture, we covered the seven propositional connectives, which for convenience weâve listed below:
\[â§ \quad âš \quad ÂŹ \quad â \quad â \quad †\quad â„\]We settled on this set of connectives because theyâre convenient and expressive. However, it turns out that we could get away with fewer connectives than this.
-
Write expression equivalent to $\bot$ that does not use any connectives besides $\land$, $\lor$, $\lnot$, and $\top$. (Youâre welcome to use parentheses, but do not use any variables.)
-
Write an expression equivalent to $p \to q$ that does not use any connectives besides $\land$, $\lor$, $\lnot$, and $\top$. (Youâre welcome to use the variables $p$ and $q$, along with parentheses.)
-
Write an expression equivalent to $p \leftrightarrow q$ that does not use any connectives besides $\land$, $\lor$, $\lnot$, and $\top$. (Youâre welcome to use the variables $p$ and $q$, along with parentheses.)
Your answers to parts (i), (ii), and (iii) of this problem show that the the four propositional connectives $\land$, $\lor$, $\lnot$, and $\top$ collectively are sufficient â the other three connectives can be rewritten purely in terms of them. However, thereâs some redundancy within those four connectives, and we can express all propositional formulas just using three of them.
-
Write an expression equivalent to $p \lor q$ that does not use any connectives besides $\land$, $\lnot$, and $\top$. (Youâre welcome to use the variables $p$ and $q$, along with parentheses.)
We can push this further. You can rewrite any propositional formula using just the $\to$ and $\bot$ connectives!
-
Write an expression equivalent to $\top$ that does not use any connectives besides $\to$ and $\bot$. (Youâre welcome to use parentheses, but do not use any variables.)
-
Write an expression equivalent to $\lnot p$ that does not use any connectives besides $\to$ and $\bot$. (Youâre welcome to use the variable $p$, along with parentheses.)
-
Write an expression equivalent to $p \land q$ that does not use any connectives besides $\to$ and $\bot$. (Youâre welcome to use the variables $p$ and $q$, along with parentheses.)
As a hint, what happens if you negate an implication?
To recap: given the $\to$ and $\bot$ connectives, you can express $\land$, $\lnot$, and $\top$. From $\land$, $\lnot$, and $\top$ you can get $\land$, $\lor$, $\lnot$, and $\top$. And from those four connectives, you can get back the original seven. Overall, any propositional formula can be expressed purely in terms of $\to$ and $\top$. Nifty!
Problem Three: Executable Logic
This problem, and the ones after it, concern worlds populated by cats, robots, and humans. Love is in the air, and it seems appropriate to pin down the group dynamics using first-order logic. Letâs assume we have the predicates
- $Person(p)$, which states that $p$ is a person;
- $Cat(c)$, which states that $c$ is a cat;
- $Robot(r)$, which states that $r$ is a robot; and
- $Loves(x, y)$, which states that $x$ loves $y$.
As a note, the $Person$, $Cat$, and $Robot$ predicates are mutually exclusive. For example, you canât have a robot cat or a cat person. (I mean, you can have a âcat personâ in the sense that you can have a person who likes cats, but not someone who is literally both a cat and a person. đ) Additionally, you can assume that each entity in the world is either a person, a cat, or a robot. Finally, note that love is not necessarily symmetric. Itâs possible for $A$ to love $B$ but not the other way around. (Alas!)
Below is a list of six first-order logic statements. Your task is to implement the six C++ functions defined in the file src/ExecutableLogic.cpp, each of which determines whether one of the first-order logic formulas is true about a set of robots, cats, and people. Each robot, cat, or person is represented using a variable of type Entity, and weâve provided the following C++ functions to you, which mirror the four predicates given above:
bool Person(Entity p);
bool Cat (Entity c);
bool Robot (Entity r);
bool Loves (Entity x, Entity y);
Our provided starter files will run the six functions youâll implement on some sample worlds, which you can use to test out your implementations.
-
Consider the following first-order logic formula:
$\exists x. Cat(x)$
Write C++ code for a function
bool isFormulaTrueFor_partI(std::set<Entity> S)that takes in a set $S$ and returns whether the above formula is true for the entities in that set.
-
Repeat the above exercise with this first-order logic formula:
$\forall x. Robot(x)$
-
Repeat the above exercise with this first-order logic formula:
$\exists x. (Person(x) \land Loves(x, x))$
-
Repeat the above exercise with this first-order logic formula:
$\forall x. (Cat(x) \to Loves(x, x))$
-
Repeat the above exercise with this first-order logic formula:
\[\begin{aligned} &\forall x. (Cat(x) \to \\ &\quad \exists y. (Person(y) \land \lnot Loves(x, y)) \\ &) \end{aligned}\]
Itâs a lot easier to write code for this one if you use a helper function.
-
Repeat the above exercise with this first-order logic formula:
\[\begin{aligned} & \exists x. (Robot(x) \leftrightarrow \\ & \quad \forall y. Loves(x, y) \\ &) \end{aligned}\]
Problem Four: First-Order Negations
For each of the first-order logic formulas below, find a first-order logic formula that is the negation of the original statement. Your final formula must not have any negations in it except for direct negations of predicates. For example, given the formula
\[\begin{aligned} & \forall c. (Cat(c) \to \\ & \quad \exists p. (Person(p) \land Loves(p, c)) \\ & ), \end{aligned}\]
you could give the formula
\[\begin{aligned} & \exists c. (Cat(c) \ \land \\ & \quad \forall p. (Person(p) \to \lnot Loves(p, c)) \\ & ). \end{aligned}\]
However, you couldnât give as an answer the formula
\[\begin{aligned} & \exists c. (Cat(c) \ \land \\ & \quad \lnot \exists p. (Person(p) \land Loves(p, c)) \\ & ), \end{aligned}\]
since the inner negation could be pushed deeper into the expression.
To submit your answers, edit the file res/FirstOrderNegations.fol with your final formulas. That file contains information about how to format your answers.
We strongly recommend reading over the Guide to Negations before starting this problem.
-
Fully negate this formula:
\[\begin{aligned} & \forall p. (Person(p) \to \\ & \quad \exists c. (Cat(c) \land Loves(p, c) \ \land \\ & \quad \quad \forall r. (Robot(r) \to \lnot Loves(c, r)) \\ & \quad ) \\ & ) \end{aligned}\]
-
Fully negate this formula:
\[\begin{aligned} &\left( \forall x. \left(Person(x) \leftrightarrow \exists r. \left( Robot(r) \land Loves(x, r) \right)\right)\right) \\ & \quad \to \\ & \left(\forall r. \forall c. \left(Robot(r) \land Cat(c) \to Loves(r, c) \right) \right)\end{aligned}\]Be careful â make sure you understand how that formula is parenthesized before you try negating it.
-
Fully negate this formula:
\[\begin{aligned} & \forall c. (Cat(c) \to \\ & \quad \exists r. (Robot(r) \ \land \\ & \quad \quad \forall x. (Loves(c, x) \leftrightarrow r = x) \\ & \quad ) \\ & ) \end{aligned}\]
-
Fully negate this formula:
\[\begin{aligned} & \exists x. (Cat(x) \ \land \\ & \quad (\forall r. (Loves(r, x) \to Robot(r)) \lor \forall p. (Loves(p, x) \to Person(p))) \\ &) \end{aligned}\]
Problem Five: This, But Not That
Below is a series of pairs of statements about groups of cats, robots, and people. For each pair, find the absolute simplest world in which the first statement is true and the second statement is false. (By âabsolute simplest,â we mean using as few entities as possible, and, of solutions with the fewest entities possible, having as few entities love each other as possible.)
To submit your answers, edit the file res/ThisButNotThat.worlds. Thereâs information in that file about how to specify your worlds.
As a hint, if you want to make a statement false, make its negation true.
That last one is subtle. Does the statement in the left column look fishy to you?
Problem Six: Translating into Logic
In each of the following, write a statement in first-order logic that expresses the indicated sentence. Your statement may use any first-order construct (equality, connectives, quantifiers, etc.), but you must only use the predicates $Person$, $Robot$, $Cat$, and $Loves$.
To submit your answers, edit the file res/TranslatingIntoLogic.fol with your formulas. Thereâs information in that file about the expected format for your answers.
Please read the Guide to Logic Translations before starting this problem.
-
Write a statement in first-order logic that says ârobots do not love.â (How sad!)
As a reminder, love is considered directional. Even if robots do not love, itâs possible that people or cats might love robots. For example, I could love my Roomba even if it feels nothing toward me. đ
-
Write a statement in first-order logic that says âeach robot loves every cat, but no cat loves any person.â
-
Write a statement in first-order logic that says âeach cat only loves itself.â (Okay, Iâm not that cynical about cats. But itâs still a good exercise to translate this statement!)
-
Write a statement in first-order logic that says âif you pick a person, youâll find that they love a cat if and only if they also love a robot.â
-
Write a statement in first-order logic that says âeach person loves exactly two cats and nothing else.â To clarify, each person is allowed to love a different pair of cats.
-
Write a statement in first-order logic that says âno two robots love exactly the same set of cats.â
As a reminder, you're restricted to just using the predicates we provided you, so you can't use the $\in$ predicate or the $Set$ predicate like we did in lecture. You'll need to find another way to express this idea. Check the Guide to Logic Translations' section on set theory.
Looking for a good read on the theme of people, robots, pets, and love? Check out Ted Chiangâs novella The Lifecycle of Software Objects, which explores these ideas in depth. đ
Problem Seven: Yablo's Paradox
A logical paradox is a statement that isnât true and isnât false. One of the simplest paradoxes is the Liar's paradox, which is the following:
$(P)$: Statement $(P)$ is false.
If statement $(P)$ is true, then by its own admission statement $(P)$ is false â a contradiction! That means that statement $(P)$ isn't true.
On the other hand, suppose that statement $(P)$ is false. Then we know that âstatement $(P)$ is falseâ is false, meaning that statement $(P)$ is true â a contradiction! This means that statement $(P)$ isn't false either.
Since statement $(P)$ isn't true and isn't false, it's a paradox.
Paradoxes often arise as a result of self-reference. In the Liar's Paradox, the paradox arises because the statement directly refers to itself. However, it's not the only paradox that can arise from self-reference. This problem explores a beautiful, subtle paradox called Yablo's paradox.
Consider the following collection of infinitely many statements numbered $S_0, S_1, S_2, \dots$, where there is a statement $S_n$ for each natural number $n$. These statements are ordered in a list as follows:
- $(S_0)$: All statements in this list after this one are false.
- $(S_1)$: All statements in this list after this one are false.
- $(S_2)$: All statements in this list after this one are false.
- $\dots$
More generally, for each $n \in \mathbb{N}$, the statement $(S_n)$ is
$(S_n)$: All statements in this list after this one are false.
Surprisingly, the interplay between these statements makes every statement in the list a paradox.
-
Prove, by contradiction, that there does not exist a natural number $n$ where statement $(S_n)$ is true.
Something to ponder: how do you negate a universally-quantified statement?
-
Prove, by contradiction, that there does not exist a natural number $n$ where statement $(S_n)$ is false.
Your results from parts (i) and (ii) collectively establish that every statement in the list above is paradox, since none of them are true and none of them are false.
Now, consider the following modification to this list. Instead of infinitely many statements, suppose that there are âonlyâ $10,000,000,000$ statements. Specifically, suppose we have these statements:
- $(T_0)$: All statements in this list after this one are false.
- $(T_1)$: All statements in this list after this one are false.
- $(T_2)$: All statements in this list after this one are false.
- $\dots$
- $(T_{9,999,999,999})$: All statements in this list after this one are false.
There's still a lot of statements here, but not infinitely many of them. Interestingly, these statements are all perfectly consistent with one another and do not result in any paradoxes.
-
For each statement in the above list, determine whether it's true or false and explain why your choices are consistent with one another.
Going forward, don't worry about paradoxes in CS103. We won't talk about any more statements like these. đ
Problem Eight: Hereditary Sets
Letâs begin with a fun little definition: A set $S$ is a called a hereditary set if every $x \in S$ is also a hereditary set.
This definition might seem strange because it's self-referential â it defines the hereditary sets in terms of other hereditary sets! However, it turns out that this is a perfectly reasonable definition to work with, and in this problem you'll explore some properties of these types of sets.
-
Given the self-referential nature of the definition of hereditary sets, it's not clear that hereditary sets even exist at all! As a starting point, prove that there is at least one hereditary set.
Try writing out some sample sets and see what you find. Youâll quickly get a better handle on how the definition behaves, which will help guide your search.
-
Prove that if $S$ is a hereditary set, then $\wp(S)$ is also a hereditary set.
After youâve written up a draft of your proofs, take a minute to read over them and apply the criteria from the Proofwriting Checklist. Here are a few specific things to watch out for:
-
If you want to prove in part (ii) that a set $T$ is a hereditary set, you need to prove the statement âevery element of $T$ is a hereditary set.â Thatâs a universally-quantifed statement. If youâre proving it via a direct proof, youâll probably need to pick some arbitrary element $x \in T$, then prove that $x$ is a hereditary set by making specific claims about the variable $x$. Read over your proof and make sure that (1) youâve introduced a new variable to refer to some arbitrarily-chosen element of $T$ and that (2) youâre making specific claims about the variable $x$, rather than talking in general about how elements of $T$ behave. You may need to introduce multiple variables in the course of your proofs.
-
A common mistake we see people make when theyâre just getting started is to restate definitions in the abstract in the middle of a proof. For example, we commonly see people say something like âsince $A \subseteq B$, we know that every element of $A$ is an element of $B$.â When youâre writing a proof, you can assume that whoever is reading your proof is familiar with the definitions of relevant terms, so statements like the one here that just restate a definition arenât necessary. Instead of restating definitions, try to apply those definitions. A better sentence would be something to the effect of âSince $x \in A$ and $A \subseteq B$, we see that $x \in B$,â which uses the definition to conclude something about a specific variable rather than just restating the definition.
-
Although weâve just introduced first-order logic as a tool for formalizing definitions and reasoning about mathematical structures, the convention is to not use first-order logic notation (connectives, quantifiers, etc.) in written proofs. In a sense, you can think of first-order logic as the stage crew in the theater piece that is a proof â it works behind the scenes to make everything come together, but itâs not supposed to be in front of the audience. Make sure that youâre still writing in complete sentences, that youâre not using symbols like $\forall$ or $\rightarrow$ in place of words like âfor anyâ or âtherefore,â etc.
-
Hereditary sets are used in foundational mathematics, the study of how to assemble all mathematical structures from simple structures. If youâd like to learn more about them, take Math 161!
Problem Nine: Tournament Champions
A tournament is a contest among $n \ge 0$ players. Each player plays exactly one game against each other player, and either wins or loses the game (let's assume that there are no draws). We can visually represent a tournament by drawing a circle for each player and adding arrows between pairs of players to indicate who won each game. For example, consider this tournament:
In this tournament, player $A$ beat player $E$, but lost to players $B$, $C$, and $D$.
Now, a new definition. A tournament champion is a player $c$ where, for each player $p$ that $c$ lost to, there is a player $q$ where $c$ won against $q$ and $q$ won against $p$.
In the tournament shown above, player $B$ is a champion: she won against $A$, $C$, and $D$, and although she lost to $E$, she won against $D$, who in turn won against $E$. Player $C$ is also a champion: she won against $A$, $D$, and $E$, and the one player she lost to ($B$) is covered because $C$ won against $E$, who in turn won against $B$. Player $A$, however, is not a tournament champion. To see this, $A$ didnât win against $C$, nor is there any player who $A$ won against who in turn won against $C$.
-
Is player $D$ a tournament champion? How about player $E$? No justification is required.
You might have an intuition for what a tournament champion is, but to determine the answers to these questions, youâll have to look back at the definition.
Hereâs an amazing fact about tournaments.
-
Let $T$ be an arbitrary tournament and $c$ be a player in that tournament. Prove the following statement: if $c$ won more games than anyone else in $T$ or is tied for winning the greatest number of games, then $c$ is a tournament champion in $T$.
Remember that proofwriting heavily involves leveraging definitions. Intuitively, it makes sense that someone who won the most games did the best in a tournament, but thatâs not whatâs being asked here. Instead, youâre asked to show that if someone won the most games (or tied for winning the most games), then they specifically meet the criteria described above that characterize a tournament champion.
A great question to ponder â what has to happen for someone to not be a tournament champion? Donât guess based on your intuition; negate the definition of a tournament champion and see what happens. You might want to draw a picture of what happens in this case.
A corollary of the result from (ii) is that every tournament with at least one player has at least one tournament champion â pick someone who won the most games or is tied for winning the most games.
The result you proved in part (ii) of this problem is noteworthy for several reasons. First, this is a fundamental result about tournaments â many aspects of tournaments can be better understood by looking at its champions. Second, itâs an example of a style of proof called a proof by extreme case. In a proof of that sort, you pick some âextremeâ object, usually the biggest or smallest object of some type, then prove that it has some property. Here, you proved that the âwinningestâ player must be a tournament champion. Keep this idea in mind for the future â youâll likely get some more mileage out of it!
Tournaments have many applications in computational complexity theory and in the emerging field of computational social choice theory. A former CS103 TA, Michael Kim, studied them extensively when doing his PhD here in computer science!
Optional Fun Problem: Insufficient Connectives
As you saw earlier on this problem set, every propositional logic formula could be written in terms of just $\to$ and $\bot$. However, you cannot express every possible propositional logic formula using just the $\leftrightarrow$ and $\bot$ connectives.
Prove why not.

