The Vector and Grid Classes
CS 106B: Programming Abstractions
Spring 2023, Stanford University Computer Science Department
Lecturer: Chris Gregg, Head CA: Neel Kishnani

Slide 2
Announcements
- I have posted an extra video on passing values by reference on Canvas (recorded previously). The code for the examples is here.
- Section starts this week! Section assignments will be released on Tuesday evening and sections will begin Wednesday morning. Reminder: All section times are displayed in PDT.
- If you can no longer make the time to which you’re assigned (or if you were originally unassigned because you did not submit time preferences), go to the CS198 website and you’ll be able to switch into any section which still has space.
- The LaIR is now open – this is a space where you can get live code debugging help from our fleet of awesome section leaders.
- Please make your best effort to save code debugging questions for the LaIR or instructor office hours – while we will offer as much flexibility as we can to answer debugging questions on Ed, we only have a limited capacity to do so, and would like to reserve this for folks that are unable to make any of the synchronous help resources that have been offered.
Slide 3
Code Mystery

- In the last lecture, we introduced the idea of a C++ reference. What is the output of this code?
void mystery(int& b, int c, int& a) {
a++;
b--;
c += a;
}
int main() {
int a = 5;
int b = 2;
int c = 8;
mystery(c, a, b);
cout << a << " " << b << " " << c << endl;
return 0;
}
Poll:
A. 5 2 8
B. 5 3 7
C. 6 1 8
D. 61 13
E. other
Slide 4
Poll answer:
output
A. 5 2 8
B. 5 3 7
C. 6 1 8
D. 61 13
E. other
Note: please don't obfuscate your code like this! :(
See the International Obfuscated C Contest for much, much worse examples
Slide 5
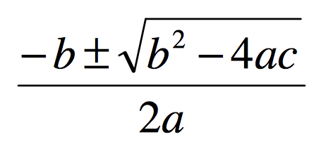
A function for Solving the Quadratic Equation

- A quadratic equation for variable x is one of the form:
ax2 + bx + c = 0
for some numbers a, b, and c.
-
The two roots of a quadratic equation can be found using the quadratic formula above.
-
Example: The roots of
x2 - 3x - 4 = 0arex=4andx=-1 - How would we write a function named quadratic to solve quadratic equations?
- What parameters should it accept?
- Which parameters should be passed by value, and which by reference?
- What, if anything, should it return?
- We have choices!
Slide 6
A Function for Solving the Quadratic Equation

/*
* Solves a quadratic equation ax^2 + bx + c = 0,
* storing the results in output parameters root1 and root2.
* Assumes that the given equation has two real roots.
*/
void quadratic(double a, double b, double c,
double& root1, double& root2) {
double d = sqrt(b * b - 4 * a * c);
root1 = (-b + d) / (2 * a);
root2 = (-b - d) / (2 * a);
}
- How are we "returning" the results? Answer: by using references to variables
- What other choices ccould we have made?
Slide 7
Collections

-
One of the most powerful aspects of C++ is the ability to have a "collection": we will study the six collections shown above.
-
We will talk about all of these as we go through CS 106B, but you will need to use the Vector and Grid classes for assignment 1.
Slide 8
The Vector Collection
- What is a
Vector?- It is like a
listin Python, or anArrayListin Java. - It is a list of elements that can grow and shrink.
- Each element has a place (or index) in the list.
- It is like a
- Important Details
- The constructor creates an empty list (more on constructors soon)
- The Stanford
Vectorclass performs bounds checks, meaning that if you try to access an element that is outside the bounds of aVector, the program crashes. - A
VectorKnows its size. - To use
Vectors, you#include "vector.h".
- Under the hood, a vector is an array, which means that in the computer's memory, one value follows the next.
Slide 9
Creating a Vector
- You must specify the type of your vector (e.g.,
int,string, etc.) -
When a vector is created it is initially empty.
- To create a vector called
vecthat can hold integers (ints), we write the following:Vector<int> vec;This calls the default constructor, which just means that it initializes and creates (constructs) an empty vector for us.
Slide 10
Adding elements to a vector
- Here is an example where we create a vector called
magicand add the numbers4,8,15, and16to the vector, and then print out the elment at index2:Vector<int> magic; magic.add(4); magic.add(8); magic.add(15); magic.add(16); cout << magic[2] << endl;Output:
15 -
Notice that the index ordering starts from zero!
- In the computer's memory, our vector is represented by one number after another, as follows:
magic:
| index: | 0 | 1 | 2 | 3 |
| value: | 4 | 8 | 15 | 16 |
Slide 11
Vectors have useful functions, like size()
magic:
| index: | 0 | 1 | 2 | 3 |
| value: | 4 | 8 | 15 | 16 |
- The following loops through the values in the vector and prints them:
for(int i = 0; i < magic.size(); i++) { cout << magic[i] << endl; }Output:
4 8 15 16
Slide 12
A new type of for loop: the for each loop:
magic:
| index: | 0 | 1 | 2 | 3 |
| value: | 4 | 8 | 15 | 16 |
- The following is a loop that automatically gets the next value in a collection:
for(int value : magic) { cout << value << endl; }Output:
4 8 15 16
Slide 13
Vector Functions
- The following functions are part of the vector collection, and can be useful:
vec.size(): Returns the number of elements in the vector.isEmpty(): Returnstrueif the vector is empty, false otherwise.vec[i]: Selects the ith element of the vector.vec.add(value): Adds a new element to the end of the vector.vec.insert(index, value): Inserts the value before the specified index, and moves the values after it up by one index.vec.remove(index): Removes the element at the specified index, and moves the rest of the elements down by one index.vec.clear(): Removes all elements from the vector.
- For the exhaustive list, check out the Stanford Vector class
Slide 14
The Grid Container

- The
Gridis a Stanford library class for 2-dimensional arrays, like a matrix in math:
| a0 | b0 | c0 |
| a1 | b1 | c1 |
| a2 | b2 | c2 |
Slide 15
Grid
- What is it?
- Advanced 2D array.
- Think spread sheets, game boards
- Important Details
- Default constructor makes a grid of size 0
- Doesn’t support “ragged right”.
- Bounds checks
- Knows its size.
- We could use a combination of Vectors to simulate a 2D matrix, but a Grid is easier!
Slide 16
Grid Example Code
Grid<int> matrix(2,2);
matrix[0][0] = 42;
matrix[0][1] = 6;
matrix[1][0] = matrix[0][1];
cout << matrix.numRows() << endl;
cout << matrix[0][1] << endl;
cout << matrix[1][1] << endl;
cout << matrix[2][3] << endl;
Let's draw what happens on each line.
Grid<int> matrix(2,2); // Create a 2x2 grid, with 0 as the default entries
| 0 | 1 | |
| 0 | 0 | 0 |
| 1 | 0 | 0 |
matrix[0][0] = 42; // put 42 at row 0, column 0
| 0 | 1 | |
| 0 | 42 | 0 |
| 1 | 0 | 0 |
matrix[0][1] = 6; // put 6 at row 0, column 1
| 0 | 1 | |
| 0 | 42 | 6 |
| 1 | 0 | 0 |
matrix[1][0] = matrix[0][1]; // put the value from r0,c1 at r1,c0
| 0 | 1 | |
| 0 | 42 | 6 |
| 1 | 6 | 0 |
cout << matrix.numRows() << endl;
cout << matrix[0][1] << endl;
cout << matrix[1][1] << endl;
Prints the number of rows, then the value at r0,c1, then the value at r1,c1:
2
6
0
cout << matrix[2][3] << endl; // attempts to print out the value at r2,c3
***
*** STANFORD C++ LIBRARY
*** An ErrorException occurred during program execution:
*** Grid::operator [][]: (2, 3) is outside of valid range [(0, 0)..(1, 1)]
***
libc++abi.dylib: terminate_handler unexpectedly threw an exception
15:25:55: The program has unexpectedly finished.
15:25:55: The process was ended forcefully.
Grids do bounds checking! If you want to bounds check without crashing, you should call the grid.inBounds(row, col) function, which returns true if the row and column are in bounds for the grid.
Slide 17
Grid Functions
- The following functions are part of the grid collection, and can be useful:
grid.numRows(): Returns the number of rows in the grid.grid.numCols(): Returns the number of columns in the grid.grid[i][j]: selects the element in the ith row and jth column.grid.resize(rows, cols): Changes the dimensions of the grid and re-initializes all entries to their default values.grid.inBounds(row, col): Returnstrueif the specified row, column position is in the grid,falseotherwise.
- For the exhaustive list, check out the Stanford Grid class
Slide 18
Grid Example: Traversing a Grid
void printGrid(Grid<char> &grid) {
for(int r = 0; r < grid.numRows(); r++) {
for(int c = 0; c < grid.numCols(); c++) {
cout << grid[r][c];
}
cout << endl;
}
}
If we pass in the following grid, what will print?
| 0 | 1 | |
| 0 | a | b |
| 1 | c | d |
| 2 | e | f |
Output:
ab
cd
ef
Slide 19
Common pitfalls when working with collections in C++
Vector numbers;- Needs a type! Should be:
Vector<int> numbers;
- Needs a type! Should be:
void myFunction(Grid<bool> gridParam);- Two issues:
- If you want the original
gridParamto be changed in the calling function, you're out of luck. - Inefficient because you have to make a copy of
gridParam.
- If you want the original
- Two issues:
void printOutGrid(Grid<bool> & grid) {
for(int i = 0; i < grid.numRows(); i++) {
for(int j = 0; j < grid.numCols(); j++) {
cout << grid[j][i];
}
}
- Watch your variable ordering! Better to use
rfor rows, andcfor columns.
Slide 20
Let's Code Instagram!

Slide 21
A color is an int, and and Image is just a Grid<int>!

Slide 22
Let's change the palette of the image

Slide 23
Let's Code!
