Oliver Fringer
 

home

people

research

publications

scholar

SUNTANS

krell fellowships

 
Oliver Fringer
 

Research

overview MODELING internal waves estuaries sediments

Nonhydrostatic modeling Unstructured grids Navier-Stokes codes Applications

Numerical model development

A unique feature of my research group is that we focus on development and implementation of numerical models over scales ranging from those related to fine-scale turbulence physics and mixing to those at large scales related to coastal circulation and transport. Numerical modeling of these processes requires fundamentally different approaches. The fine scale processes are simulated with computer codes that directly discretize the Navier-Stokes equation with little to no approximations, including the large-eddy simulation (LES) and direction numerical simulation (DNS) approaches. The large-scale processes, on the other hand, are simulated using ocean models that discretize simplified or approximate forms of the Navier-Stokes equation, such as the hydrostatic approximation. In these models, because the turbulence is not resolved, they employ the Reynolds-averaged form of the Navier-Stokes equation in the so-called RANS approach, wherein the turbulence is parameterized. In addition to the errors arising from the approximate forms of the equations, a fundamentally different aspect of large-scale circulation modeling is that many of the errors arise from a lack of knowledge of boundary and initial conditions (e.g. bottom bathymetry, wind fields for surface stresses, initial temperature and salinity fields, etc…). Therefore, a key element of the research in my group related to ocean modeling is balancing the cost related to more accurate representation of the physics with improved numerical modeling techniques against the intrinsic errors related to boundary and initial conditions. Given that Navier-Stokes solvers employ few approximations, a long-term goal of ours is to develop ocean models that employ techniques often restricted to Navier-Stokes solvers.

Nonhydrostatic ocean modeling

back to top
Ocean models typically employ the hydrostatic approximation because the variability in pressure over large horizontal scales is due primarily to the hydrostatic pressure arising from the weight of the fluid above a point beneath the water surface. However, when considering processes over shorter scales relative to the depth, the nonhydrostatic pressure, which can be thought of as the pressure arising from fluid motion, can also become important. The ratio of the nonhydrostatic to hydrostatic pressure is given approximately by the square of the aspect ratio of the phenomenon of interest, where the aspect ratio is defined as epsilon=D/L, where D is the vertical scale of the motion and L is its horizontal scale. The simplest example of a problem in which the nonhydrostatic pressure can become important is dispersion of surface gravity waves (internal gravity waves behave similarly), for which the nonhydrostatic effect is quantified by epsilon=D/L, where here D is the depth and L is the wavelength. Surface gravity waves are dispersive in that long waves in water that is deep relative to the wavelength (i.e. D≫L, or large epsilon) propagate faster than short waves. This effect can only be reproduced with the nonhydrostatic pressure, which becomes more important for short waves. In the limit of waves being much longer than the depth (i.e. D≪L, or small epsilon), the waves are no longer dispersive because they all propagate at the shallow water wave speed, and such waves are hydrostatic. In this limit, since epsilon is small, then the relative importance of the nonhydrostatic pressure becomes negligible. This explains why, for example, models of the tides are hydrostatic, since the wavelength of surface tidal waves is of the order of 1000 km, which is much larger than the depth of the ocean which is of the order of 1 km. Waves that are of the order of the depth or shorter, such as swell waves on the beach, are strongly nonhydrostatic, and so they require nonhydrostatic models or models that retain the nonhydrostatic frequency dispersion.

The most straightforward test of a nonhydrostatic model is a standing wave in a tank. Since my research group focuses on internal gravity waves, we focus on testing nonhydrostatic effects in an internal seiche, as shown in Figure 1. Application of a nonhydrostatic model to simulate the oscillations will correctly reproduce the dispersive wave speed as the domain is made deeper. As shown in Figure 2, in the limit of water very deep relative to the wavelength, the wave speed approaches the deep-water wave speed because it depends on the length of the tank (which is half the wavelength) and not the depth when D≫L. However, use of a hydrostatic model implies that the speed is only a function of the depth, and so the wave speed continues to increase with increasing tank depth.

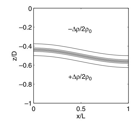
Figure 1: Initial condition for a standing internal seiche, represented by a diffuse interface separating two fluids of different densities (from Fringer et al., 2006).

Figure 2: Comparison of the internal gravity wave speed (c) in a tank of length L and depth D, computed by a hydrostatic model (crosses) to that computed by a nonhydrostatic model (circles), as a function of the aspect ratio of the tank epsilon=D/L. The nonhydrostatic model result asymptotes to the deep-water wave speed c_DW, whereas the speed of the wave computed by the hydrostatic model increases quadratically with depth (from Fringer et al., 2006).

Another excellent example of a strongly nonhydrostatic process is the nonhydrostatic lock exchange problem, as shown in Figure 3. In this problem, a tank is filled with two fluids of different densities separated by a “lock”. Releasing the lock creates an exchange flow with shear instabilities at the interface. Because these instabilities are characterized by vertical and horizontal length scales that match, their aspect ratio is unity, implying that they cannot be reproduced by a hydrostatic model.

Figure 3: The lock exchange problem computed with a hydrostatic model (a) and a nonhydrostatic model (b) showing how the hydrostatic model does not reproduce the strongly nonhydrostatic overturns which are characterized by equal horizontal and vertical scales. The heavy fluid is on the right and the lighter fluid is to the left (from Fringer et al., 2006).

Lock exchange movie courtesy of Sean Vitousek, UCI.

Calculation of nonhydrostatic processes is computationally expensive because of the need to employ high grid resolution to resolve processes with short horizontal length scales. It is also expensive because solution of the nonhydrostatic pressure involves inversion of a large, linear system of equations, which can increase the computational cost of an ocean model by up to one order of magnitude. Fortunately, however, in Fringer et al. (2006), we show that if suitable preconditioners are employed when inverting this linear system, the cost of computing the nonhydrostatic pressure vanishes when the leptic ratio, or lambda=dx/D (Scotti and Mitran, Ocean Modeling, 2008), is large. That is, if the grid resolution dx is large relative to the depth D, then nonhydrostatic effects are not being resolved, and so inclusion of the nonhydrostatic pressure does not incur computational overhead. This is useful for unstructured-grid models in which the grid resolution is refined in regions where nonhydrostatic effects are important, but coarse where it is not. The resulting solver thus only needs to do work in regions where the lepticity is small, or where the nonhydrostatic effects are important, and there is no overhead related to computation of the nonhydrostatic pressure.

Although nonhydrostatic models are expensive because they require high grid resolution, it is useful to understand the minimum grid resolution needed to resolve the nonhydrostatic effect of interest. My research group works extensively on nonhydrostatic simulations of internal gravity waves, and we have developed a criterion dictating the grid resolution needed to resolve the leading-order nonhydrostatic effect in such waves. Many large-scale simulations of internal waves are computed with ocean models solving the primitive (hydrostatic) equations. Weakly nonlinear internal waves, however, represent a dynamical balance between nonlinearity and nonhydrostasy (dispersion), and thus may require more computationally expensive nonhydrostatic simulations to be well-resolved. Most discretizations of the primitive equations are second-order accurate, inducing numerical dispersion generated from odd-order terms in the truncation error (3rd-order derivatives and higher). This numerical dispersion mimics physical dispersion due to nonhydrostasy. In the analysis detailed in Vitousek and Fringer (2011), we determine the numerical dispersion coefficient associated with common discretizations of the primitive equations. Comparing this coefficient with the physical dispersion coefficient from the Boussinesq wave equations, we find that, to lowest order, the ratio of numerical to physical dispersion is Gamma = K lambda^2 where K is an O(1) constant dependent on the discretization of the governing equations and the grid leptic ratio is defined as lambda = dx/h1, where dx is the horizontal grid spacing and h1 is the depth of the internal interface. Typical scales in the ocean are very long relative to their depth and hence extraordinarily thin. Likewise, typical grid resolutions in ocean models reflect these thin scales, resulting in large values of lambda. Thus, simulations may be overly (numerically) dispersive as dictated by the relationship Gamma = K lambda^2. When the grid lepticity is large, solitary wave widths of hydrostatic and nonhydrostatic models converge to each other due to the overwhelming presence of numerical dispersion. An illustration of this effect is given in Figure 4. In this example, nonhydrostatic and hydrostatic models provide practically identical results, which gives a false impression that nonhydrostatic effects must therefore be unimportant. Using a much smaller lepticity, the physical nonhydrostatic dispersion is resolved, producing the correct waves as shown in Figure 5. In this case, however, since the numerical dispersion in the hydrostatic model is so small, short, "numerical solitons" are created in the hydrostatic model. These are susceptible to numerical diffusion which causes amplitude loss and a reduction in amplitude dispersion, thereby creating a slower wave.

Figure 4: Comparison of the evolution of a solitary-like internal gravity wave train as computed by a nonhydrostatic model with lambda=8 (blue) and a hydrostatic model (red). The large value of lambda produces numerical dispersion that is 64 times larger than the physical dispersion (From Vitousek and Fringer, 2011).

Figure 5: Comparison of the evolution of a solitary-like internal gravity wave train as computed by a nonhydrostatic model with lambda=0.25 (blue) and a hydrostatic model (red). In this case the numerical dispersion is 16 times smaller than the physical dispersion (From Vitousek and Fringer, 2011).

The nonhydrostatic grid-resolution criterion poses significant computational challenges for resolving nonhydrostatic internal gravity waves in the ocean. An example calculation of internal gravity waves is shown in Figure 6, which depicts an animation of the elevation of the 20 degree isotherm in the South China Sea due to internal wave generation by tidal flow over steep bathymetry between Taiwan and Luzon, Phillippines. As described in Zhang et al. (2011), the simulation required 12 million grid cells and hundreds of thousands of CPU hours (a lot in 2007!) to simulate two weeks of real time (one spring-neap tidal cycle). Despite the computational expense, those simulations employed a grid resolution that was dx=1000 m with a mixed-layer depth of h1=200 m, implying a large leptic ratio (lambda=dx/h1=5) and hence lack of resolution of the leading-order nonhydrostatic processes related to the internal solitary waves. If we were to employ a grid resolution with lambda=0.5, this would require an increase in the computational expense by roughly a factor of at least 50, or 1.2 billion grid cells.

Figure 6: Simulation results showing the deflection of the 20-degree isotherm (in meters) due to westward-propagating internal waves that were generated due to strong tidal flows at the Luzon Strait, between Taiwan and Luzon, Phillipines (From Zhang et al., 2011).

To alleviate the computational expense related to resolution of leading-order nonhydrostatic effects in internal gravity waves, my research group (Vitousek and Fringer, 2014) developed a nonhydrostatic, isopycnal-coordinate ocean model that employs a vertical grid that follows the lines of constant density (isopycnals), using the arbitrary Lagrangian-Eulerian (ALE) framework commonly employed in Navier-Stokes solvers with moving grids (e.g. Koltakov and Fringer, 2013). Although isopycnal coordinates are common in ocean modeling, ours is the first nonhydrostatic model. The advantage of isopycnal coordinates is that nonphysical numerical diffusion is eliminated because, by definition, there is no transport of density across grid lines. Therefore, the number of grid cells needed to resolve the vertical dimension can be reduced by an order of magnitude, thus reducing the computational expense of the problem. Isopycnal coordinates can have problems when physical vertical mixing is desired – to accommodate this effect we have also developed a hybrid-coordinate, nonhydrostatic model, wherein the vertical coordinate is arbitrary so it can accommodate vertical mixing if desired.

An example of a result with the nonhydrostatic, isopycnal-coordinate model of Vitousek and Fringer (2014) is shown in Figure 7, which shows the evolution of internal tides as they steepen into trains of internal solitary-like waves. This result was obtained with just 10 isopycnal layers as opposed to 100 z-levels, which would be required with a traditional z-level model, thus representing a cost savings of a factor of ten. Surprisingly, just a few layers are needed to reproduce complex physics. For example, Figure 8 compares the result of a breaking internal gravity wave on a slope using the isopycnal-coordinate model of Vitousek and Fringer (2014) to a three-dimensional, large-eddy simulation (LES) result of Arthur and Fringer (2014). The breaking dynamics are very similar despite the use of just two isopycnal layers with no model to parameterize the cross-isopycnal flux due to mixing.

Figure 7: Generation of internal tides over an idealized ridge and the subsequent steepening into trains of weakly nonlinear internal solitary-like waves. The left inset panel show the steepening dynamics in the frame of the wave train as it propagates to the left, while the right inset panel presents a zoomed-in view of the generation dynamics over the ridge. The bottom panel shows a time series of the barotropic currents over the ridge. This result was obtained with 10 isocpycnal layers using the nonhydrostatic isocpyncal-coordinate model of Vitousek and Fringer (2014).

Figure 8: Comparison of a breaking internal gravity wave on a slope using a three-dimensional LES model (Top; Arthur and Fringer, 2014) to a nonhydrostatic isocpycnal-coordinate model with two layers (Bottom; Vitousek and Fringer, 2014). There is no parameterized cross-coordinate flux due to mixing in the isopycnal-coordinate model.

Unstructured grids

back to top
Unstructured grids are well suited to studying the multiscale nature of surface water flows in the environment because the grid can be refined in regions where there is strong spatial variability, particularly in estuarine environments with intricate channel networks along shorelines, as in Figure 9. We work on finite-volume methods for unstructured grids with a focus on the unstructured-grid SUNTANS model (Fringer et al., 2006). A disadvantage of finite-volume methods on unstructured grids is the diminished accuracy when highly accute triangular cells are employed, which is common when attempting to resolve long, narrow channels in estuarine environments. In collaboration with Mark Stacey and Rusty Holleman at UC Berkeley, we showed that unphysical, numerical diffusion that results from unstructured-grid discretizations can be alleviated by aligning the cell faces with the predominant flow direction (Holleman et al., 2015). An alternative is to employ quadrilateral elements in addition to triangles in a so-called hybrid-grid approach, as shown in Figure 10.

Figure 9: An unstructured grid of Galveston Bay, TX, with 57,000 cells with grid resolutions ranging from 10 m to 1 km (from Rayson et al., 2015).

Figure 10: An unstructured grid of Galveston Bay, TX (a), along with a coarse triangular grid (b), a fine triangular grid (c), and a hybrid grid composed of both triangles and quadrilaterals (d) (from Rayson et al., 2015).

Not only are quadrilaterals ideally suited to resolving long channels, but our research has shown that they alleviate grid-scale noise that is common in unstructured, triangular grids in which the pressure is defined at the cell centers and the velocity is defined normal to the cell edges (Wolfram and Fringer, 2013). Such an arrangement is useful for accurate solutions of the linear shallow water equations, although only the normal component of velocity is typically stored at the cell faces. Therefore, special care must be taken for nonlinear problems that require more accurate reconstruction of the component of flow tangent to the cell faces (Wang et al., 2011).

My research group continuously works to add to the features of the SUNTANS model (Fringer et al., 2006) to improve its functionality in different environments. These include the development of a sediment transport model (Chou et al., submitted) and a spectral wave model to include the effects of wave-driven currents and bottom stresses (Chou et al., 2015). We have also implemented the cut-cell approach that enables use of a Cartesian grid in the vertical that follows variable bottom geometry smoothly rather than with stair-stepping. To simulate flows in salt-marsh estuaries, we have implemented a marsh vegetation drag module along with a culvert module. Finally, the SUNTANS code now incorporates the method of subgrid bathymetry, whereby bathymetry data at a resolution that is finer than the mesh are incorporated into the solution without increasing the resolution of the underlying computational mesh. These features are under development.

Navier-Stokes codes

back to top
My group has worked extensively with Navier-Stokes solvers to study turbulent stratified flows and sediment transport dynamics. We have developed a moving-grid Navier-Stokes code following the arbitrary Lagrangian-Eulerian (ALE) approach to compute the motion of a moving sediment bed in response to a turbulent channel flow, as shown in Figure 11. A key feaature of moving-grid sediment transport solvers is that they must ensure local mass conservation of sediment, which can be tricky in the presence of moving grids. As outlined in Chou and Fringer (2010a), we developed a method that ensures local mass conservation to machine precision. Without such a method, unrealistic suspended sediment concentrations appear when the bed moves. This code was extended to adaptively move the grid to more accurately simulate simulations of stratified flows with sharp density interfaces, as described by Koltakov and Fringer (2013) and shown in Figure 12.

Figure 11: The formation of ripples in the presence of a wave-driven flow (From Chou and Fringer, 2010b).

Figure 12: Simulation of the lock exchange problem with an adaptive grid (From Koltakov and Fringer, 2013). The grid adapts to better resolve the sharp density contours indicated by the colors.

The Navier-Stokes codes with which my group works employ resolution that is sufficient to resolve the turbulent dynamics of the flow field. We employ both the large-eddy simulation (LES) and Direct Numerical Simulation (DNS) approaches. In LES, most of the turbulence is resolved and the unresolved turbulence is accounted for with turbulence models, while in DNS all of the turbulence is resolved. For example, Chou and Fringer (2008) developed an LES model for the simulation of suspended sediment in a rough-wall channel flow, while Arthur and Fringer (2014) and Arthur et al. (2017) performed DNS of a breaking internal wave on a slope. Much of our sediment work involves simulation of turbulent channel flow which requires countless computational hours for the flow to reach turbulent equilibrium (Figure 13). To alleviate this expense, we developed a procedure that reduces the spin-up time by nearly one order of magnitude, as outlined in Nelson and Fringer (2017). The method provides savings worth hundreds of thousands of CPU hours in high-resolution simulations of turbulent channel flow.

Figure 13: Contours of velocity magnitude during spinup of a turbulent channel flow with Re_tau = 500. The procedure described in Nelson and Fringer (2017) shows how to reduce the time needed for the flow to spinup and reach statistical equilibrium by nearly one order of magnitude.

Applications of numerical models

back to top
My research group has employed the SUNTANS model and Navier-Stokes solvers to understand fundamental multiscale physical processes related to internal gravity waves, estuarine flow physics, and sediment transport. A key element of our SUNTANS modeling work is the extent to which we ensure highly accurate three-dimensional simulations through refinement of features that are essential to obtaining accurate solutions, including the quality of the unstructured grid, accuracy of the boundary and initial conditions, and optimization of the turbulence model. We spend a great deal of time on model validation through comparison of the results to detailed field observations. The validation process yields insight into where the model succeeds and where improvement is needed. Although we focus on the physical processes, the ultimate goal is to employ the SUNTANS model as a Navier-Stokes solver in real, field-scale geometries. At the same time, LES and DNS results using our Navier-Stokes codes informs how we might parameterize or even resolve such processes in the SUNTANS code.  


Last updated: 09/26/25