Water-Anion Hydrogen Bond Interactions and Dynamics from the Bulk to Silica Mesopores

Nanoconfined liquid dynamics play a role in applications such as energy conversion, carbon capture, protein folding, and catalysis. Liquids confined in very small volumes behave differently from bulk liquids. The motions of the confined molecules are often slowed by mechanisms such as interactions with the surface moieties and geometric confinement itself. We have used the nitrile (CN) stretch of two vibrational probes, selenocyanate (SeCN-) and methyl thiocyanate (SCN-), to study the behavior of liquids in mesoporous silica.

Mesoporous silica has ordered cylindrical pores that are uniform in size, which makes it a useful material for quantitative studies of confined liquid dynamics; however, it is a powder rather like sand, and thus has a propensity to scatter light, posing a significant experimental challenge to measuring the dynamics within its pores. These measurements are made possible with a phase cycling scheme involving an acousto-optic modulator pulse shaping system (see Experimental Section) and polarizers, along with careful sample preparation. The selection of the vibrational probes, such as selenocyanate with its long vibrational lifetime and strong transition dipole moment, further facilitates the measurement of the slow confined dynamics in thin (i.e., less prone to optical scattering, but weaker in signal) samples.

In polarization-selective pump-probe (PSPP) experiments (see Experimental Section), we vibrationally excite vibrational probe molecules with a pump pulse and then probe the sample with another pulse at various femtosecond to tens of picoseconds time delays. By resolving the probe pulse after it passes through the sample in polarizations both parallel and perpendicular the pump pulse, we can extract information about the rotational dynamics of the sample molecules. Furthermore, molecules found in slightly different environments within a liquid have slightly different vibrational frequencies. As the structural environment fluctuates, so do the frequencies of individual probe molecules. Using two-dimensional infrared (2D IR) experiments (see Experimental Section), we use short pulses to label and read the initial and final frequencies of sample molecules at various time delays, which allows us to observe the structural evolution of liquids over time. We also use the observables measured in these experiments to constrain MD simulations, which provide molecular pictures that shed light on how confinement in pores of varying sizes alters the behavior of liquids relative to the bulk.

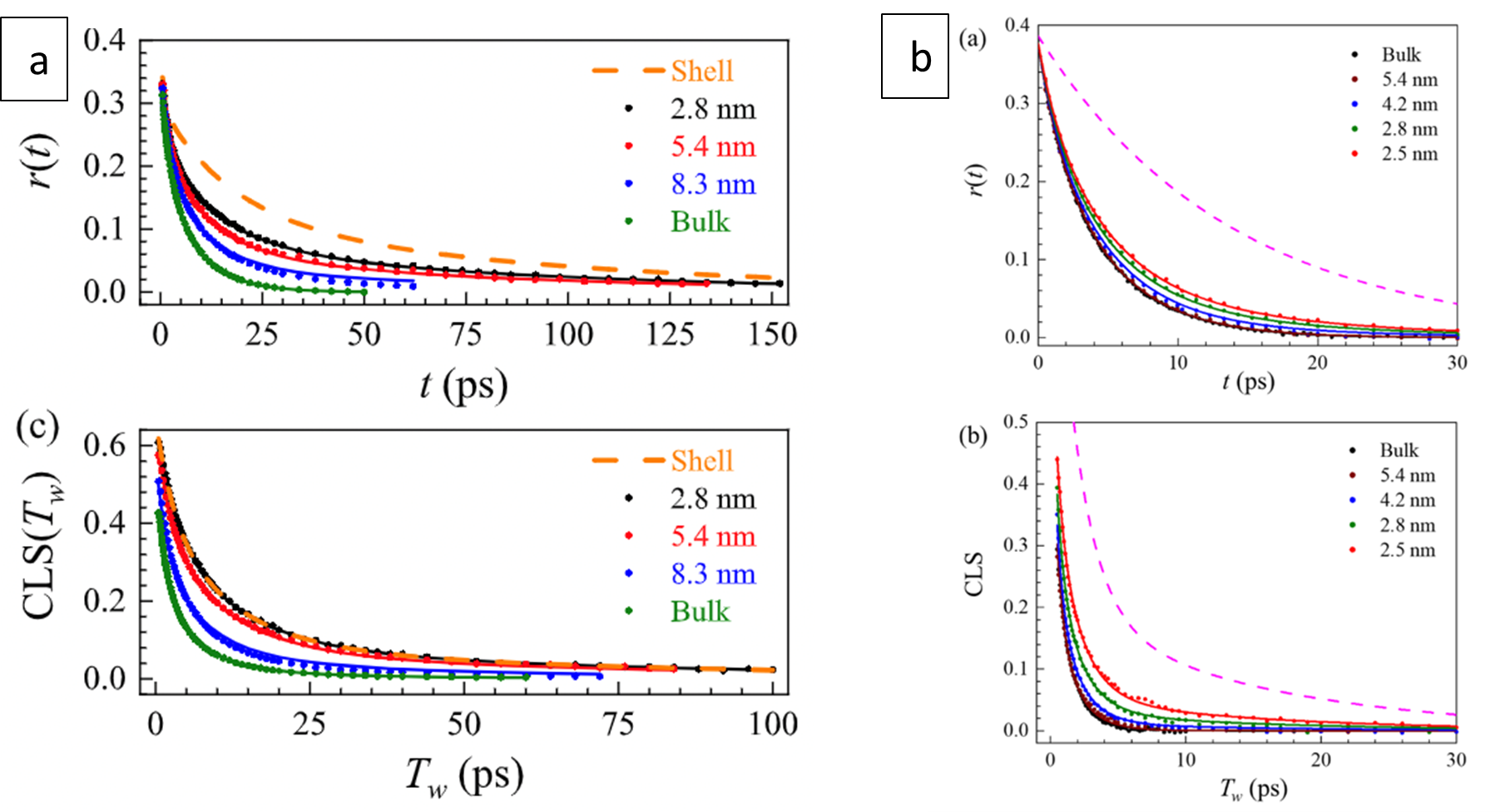
Recently, we have studied SeCN– dynamics in water (D2O) and 1-methylimidazole (MeIm) confined in mesoporous silica materials with 2.5 nm, 2.8 nm, 4.2 nm, 5.4 nm, and 8.3 nm pore diameters. The silica pore surface contains silanol (Si-OH) groups, which we have shown to form hydrogen bonds with liquids inside the pores, thus altering the dynamics of confined molecules. We find that the rotational dynamics and spectral diffusion of SeCN– in both D2O and MeIm are fastest in bulk solution and slow progressively in confinement with decreasing pore diameter. We model these observables using a core-shell model, in which the dynamics of molecules located close to the pore wall display “shell state” behavior and molecules near the center of the pore have bulk-like “core state” dynamics. At a given location within the pore, the dynamics are represented by a linear combination of the shell and core states, though the evolution from shell to core dynamics can occur either gradually or abruptly with distance from the pore wall depending on the observable (Figure 1).

Figure 1. The growth of shell-like dynamics with distance from the pore center (ρ) can occur exponentially or abruptly, depending on the observable.

The anisotropy (rotational dynamics) as a function of distance from the pore center is modeled with the following function:

(1)

where (R) is the pore radius, (d0) is a reference distance, (ρ) is the radial distance from the pore center, (ξ) is the characteristic length of the decay of shell dynamics, and rshell(t) and rcore(t) represent the “shell state” and “core state” anisotropies. For both D2O and MeIm, the contribution of shell dynamics to the anisotropy decreases exponentially with distance from the pore wall (Figure 2-3). However, shell dynamics extend further in MeIm, where the characteristic length of this decay is 9 Å (~1.8 molecular diameters) compared to 2.0 Å (~0.8 molecular diameters) for D2O. We show via simulations that (ξ) does not vary with pore size in D2O (Figure 3), suggesting that the distance dependence of the rotational dynamics is due to interactions between liquid molecules and the pore wall rather than the curvature of the interface. This is also the case for MeIm, as fits that use a model where the distance dependence of the dynamics is independent of the pore size (i.e., using a single (ξ)) agree well with experimental data in multiple pore sizes (Figure 4 below).

The spectral diffusion dynamics in MeIm and D2O, quantified by the center-line slope (CLS) or normalized frequency-frequency correlation function, are modeled by variations of step-functions; they are best described by a conventional Heaviside step function in MeIm and by a smoothed step function in D2O (Figure 2-3):

(2) (MeIm)
(3) (D2O)

where Δ is the width of the interfacial layer and α describes the smoothness of the step function. These fits reveal a shell thickness of ~10.4 Å for MeIm and ~2.8 Å for water, which suggests that the restriction of liquid motion due to interactions with the pore interface is transmitted through two layers of MeIm molecules compared to a single layer of water.

Figure 2. Transition from shell to core dynamics follows an exponential decay for the anisotropy (red) and a step decay for the spectral diffusion (blue) as a function of distance d from the pore wall for 1-methylimidazole confined in mesoporous silica.

Figure 3. Simulated orientational correlation function (a) and normalized frequency-frequency correlation function (b) as functions of distance from the pore wall for SeCN– in D2O confined in mesoporous silica. The value of the orientational correlation at a given time t decreases exponentially with distance, and the corresponding ξ are identical within error among the pore sizes studied. The normalized frequency-frequency correlation function evolves as a smoothed step function, and the parameters Δ and α are also similar for all pore sizes studied.

Figure 4. anisotropies and CLS decays of SeCN- in (a) MeIm and (b) D2O in bulk and confined in silica pores of various sizes. The solid curves are modified two-state model fits, which agree well with the experimental data. The dashed curves are the model shell dynamics that best fit the data from all pore sizes.

The time-dependent dynamical observables D(t; R) (e.g., r(t; R) and CLS(Tw; R)) measured are spatially averaged over the pore interior and in the measurement, the contributing D(t; ρ) at different distances ρ from the pore center are weighted by the probability distribution f(ρ) of SeCN- present. This is accounted for when fitting the measured dynamics:

(4)

Interactions between solvent molecules and silanol groups on the pore surface can also catalyze chemical reactions. We have demonstrated that the rate constant of the Menshutkin SN2 reaction between 1-methylimidazole (MeIm) and methyl thiocyanate (MeSCN) nearly doubles with respect to the bulk when the reactants are confined in 2.8 nm silica pores (Figure 5). While the pre-exponential factor (A) for the reaction decreases in confinement, the activation energy also decreases from 71.4 kJ/mol in bulk to 65.9 kJ/mol in the pore. Our simulations suggest that this stabilization is due to the formation of hydrogen bonds between surface silanol groups and MeSCN, which position the methyl group for an SN2 backside attack, increase the methyl group electrophilicity, and stabilize the reaction’s product binding complex.

Figure 5. The rate of the Menshutkin SN2 reaction between 1-methylimidazole and methyl thiocyanate (a) accelerates significantly when the reactants are confined in 2.8 nm silica pores (c) compared to the bulk reaction (b) as detected by time-dependent FTIR spectroscopy.

We are currently extending our studies to concentrated salt solutions, such as MgCl2, to understand how confinement affects formation and rearrangement of water-ion interactions.

Relevant Publications

502. "Ultrafast Dynamics and Liquid Structure in Mesoporous Silica: Propagation of Surface Effects in a Polar Aprotic Solvent"
Samantha T. Hung, Steven A. Yamada, Weizhong Zheng, and Michael D. Fayer J. Phys. Chem. B 125, 10018-10034 (2021) [SI]

500. "Complex Formation and Dissociation Dynamics on Amorphous Silica Surfaces"
Steven A. Yamada, Samantha T. Hung, Jae Yoon Shin, and Michael D. Fayer J. Phys. Chem. B 125, 4566-4581 (2021) [SI]

491. "Effects of Pore Size on Water Dynamics in Mesoporous Silica"
Steven A. Yamada, Samantha T. Hung, Ward H. Thompson, and Michael D. Fayer J. Chem. Phys. 152, 154704 (2020). [SI]

488. "Enhanced Menshutkin SN2 Reactivity in Mesoporous Silica: The Influence of Surface Catalysis and Confinement"
Weizhong Zheng, Steven A. Yamada, Samantha T. Hung, Weizhen Sun, Ling Zhao, and Michael D. Fayer J. Am. Chem. Soc. 142, 5636-5648 (2020). [SI]