Perovskite and Ionic Liquid Thin Films

Figure 1. BOXCARS geometry vs pump-probe geometry. Though the pump-probe geometry has advantages in terms of its phase-stability and data acquisition rate, the sensitivity is lower due to the inability to adjust the local oscillator field level.

2D IR spectroscopy experiments on monolayers or thin films are experimentally challenging. These very thin samples have small signals, which are orders of magnitude smaller than typical bulk samples. In the traditional 2D IR spectroscopy based on BOXCARS geometry, such a small signal can be sensitively detected by interfering the signal field with a small external local oscillator field. However, the data acquisition rate is limited by the slow mechanical motion of the delay lines. In the 2D IR spectroscopy based on pump-probe geometry, the data acquisition rate is remarkably faster and the acquired data is phase-stable; the disadvantage is that the local oscillator field in this geometry is much larger than the signal field and cannot be adjusted relative to the signal field, as the third probe pulse itself is a local oscillator. Consequently the interference in the local oscillator field caused by a small signal from a thin layer is very small, making it hard to detect.

Figure 2. Near-Brewster’s angle reflection pump-probe geometry. When the incident angle for the probe beam is close to Brewster’s angle, the reflected probe is low in amplitude, and can be regarded as a heavily attenuated local oscillator. As a result, the signal-to-local oscillator ratio is enhanced.

Typically, 2D IR experiments based on the pump-probe geometry are carried out in the transmission mode because for thick samples that is the only direction in which the signals from different depths in the sample will constructively interfere. However, for thin samples, there is also constructive interference in the reflected direction (Figure 2). As a result, 2D IR experiments on thin samples can be carried out in the reflection mode. The reflection mode provides an opportunity for enhancing the signal that is not possible in the transmission mode. The amplitude of the reflected signal is similar to the amplitude of the transmitted signal. However, the amplitude of the reflected local oscillator can be adjusted by making the probe beam p-polarized and adjusting the incident angle. As the incident angle approaches Brewster’s angle, the amplitude of the reflected local oscillator decreases toward zero; by choosing an incident angle close to Brewster’s angle, the local oscillator amplitude can be significantly reduced. This results in a greater modulation of the local oscillator by the signal field, leading to an enhanced signal. Using this technique, the modulation can be enhanced by a factor exceeding 30.

Figure 3. Comparison between the structural dynamics of (CH3NH3)2Pb(SCN)2I2 and Cs2Pb(SCN)2X2 thin films.

We have used this technique to study the dynamics in thin films; one such sample is the hybrid organic-inorganic perovskite (CH3NH3)2Pb(SCN)2I2. Perovskites are interesting materials because they have potential applications as photovoltaics. Thin films of perovskite were prepared by spin-coating onto SiO2-coated CaF2 windows. The thiocyanate ion (SCN-) is a suitable vibrational probe, and so the dynamics of the perovskite structure were investigated directly by probing the thiocyanate ions in the structure. In this study, we observed spectral diffusion dynamics of ~4 ps, which indicates that the perovskite structure undergoes rapid interconversion. This result demonstrates the dynamic nature of the perovskite lattice.

We recently studied other samples of perovskite thin films, which are two purely inorganic perovskites Cs2Pb(SCN)2X2 (X = Br or I). The all-inorganic perovskites have been reported to possess better stability compared to (CH3NH3)2Pb(SCN)2I2. All-inorganic perovskites typically lack suitable vibrational probes, and the CN stretch in these pseudohalide 2D perovskites opens up opportunities for exploring their distinct 2D framework fluctuations, which can shed light on the role of A- and X-site ions in the structural dynamics. The spectral diffusion dynamics were determined to occur on a timescale of ~20 ps, which is much longer than that in (CH3NH3)2Pb(SCN)2I2 (Figure 3). Perhaps the most important result from this study is the direct observation of fast structural evolution in all-inorganic 2D perovskites, which shows that structural dynamics do not require organic cations.

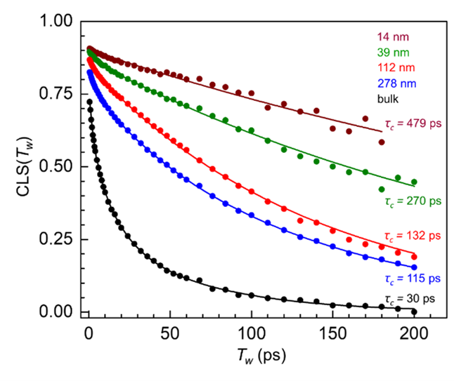
Figure 4. Center Line Slope (CLS) decays extracted from 2D IR spectra of BmimNTf2 thin films of various thicknesses, as well as the bulk liquid. As the film thickness decreases, the dynamics slow considerably.

We are also studying thin films of room temperature ionic liquids (RTILs). RTILs are ionic salts that are liquids at ambient temperatures. RTILs have good solvation and electrochemical properties, as well as low vapor pressures, good thermal stability, and high viscosity. These characteristics make them useful for various applications in chemical synthesis, energy generation, CO2 capture, and more. An interesting question is how thin a layer of an RTIL must become in order for its structure and dynamics to significantly differ from those of the bulk RTIL. To investigate this, we have studied thin films of RTILs such as BmimNTf2 (mixed with small amounts of BmimSeCN or BmimSCN so that SeCN- or SCN- can be used as the vibrational probe). Thin films of BmimNTf2 with various thicknesses in the range 15-300 nm were prepared by spin-coating; however, this method was successful only after the SiO2-coated CaF2 substrate was chemically modified to attach an ionic surface network with a structure very similar to the RTIL’s. We found that the dynamics slow down considerably with decreasing film thickness, and even in a 300 nm film, the dynamics are slower than bulk (Figure 4). This suggests that the effect of the interface propagates tens of nm into the RTIL. For comparison, in a simple liquid like water, the interface effect falls off in ~1 nm.

Relevant Publications

476. "Extraordinary Slowing of Structural Dynamics in Thin Films of a Room Temperature Ionic Liquid," Jun Nishida, John P. Breen, Boning Wu, and Michael D. Fayer ACS Cent. Sci. 4, 1065-1073 (2018). [SI]

493. "Controlling the Dynamics of Ionic Liquid Thin Films via Multilayer Surface Functionalization," Boning Wu, John P. Breen, Xiangyu Xing and Michael D. Fayer J. Am. Chem. Soc. 142, 9482-9492 (2020). [SI]

507. "Probing Lattice Dynamics in Two-Dimensional Inorganic Pseudohalide Perovskites with Ultrafast Infrared Spectroscopy," Xiangyu Xing, Jiayi Li, John P. Breen, Jun Nishida, Hemamala I. Karunadasa and Michael D. Fayer J. Phys. Chem. C, ASAP (2022). [SI]