|
Galileo (GIOVE-A) L1 Open Service Signal Code Generators
Grace Gao, Jim Spilker, Dennis Akos, Sherman Lo, Alan Chen, and Per Enge
Stanford University GPS Laboratory embarked on an endeavor to not only determine the Galileo In-Orbit Verification Element A (GIOVE-A) codes but also how the codes are generated. This assessment is important for receiver designers to test the performance of their design. It is also important for gaining a sense of the actual performance of the signal in space and assessing means of assuring integrity for the signal. In order to conduct this assessment, data had to be collected and processed to determine the approximate code on the Galileo L1. Data was collected using the SGMS.
The SGMS uses a 1.8 m parabolic reflector antenna and is located on the roof of the Department of Aeronautics and Astronautics at Stanford University. The antenna allowed for observations of the Galileo test satellite (GIOVE-A) on its first day of transmission and an estimate of the code shortly thereafter.


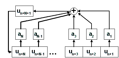
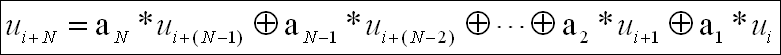
First it was noted that the GIOVE-A OS code is actually a combination of two codes. This combination was separated and the GIOVE-A L1 data bits code were determined and this was used to estimate the code generator. We first tested to see if the code was linear and determine the taps for the linear code. The test for a code generator polynomial of length N can be done using 2*N data bits. This results in N equations with N unknowns in modulo 2 arithmetics (binary field). If there is no solution, then the code generator is not length N. If there is a solution, then the code generator polynomial may be length N.


Results:
- Both codes are linear codes
- Each code is generated by a 26 order polynomial
- Factorize obtained code generator polynomials
- The code sequence can be generated by modulo 2 addition of maximal length sequences of the factor polynomials
Code CL1-B (Gold code)
Poly1_code1 = X 13+X 10+X 9+X 7+X 5+X 4+1 [1111111111111]
Poly2_code1 = X 13+X 12+X 8+X 7+X 6+X 5+1 [1101110000011]
Code CL1-C (Gold code)
Poly1_code2 = X 13+X 10+X 9+X 7+X 5+X 4+1 [1100110000011]
Poly2_code2 = X 13+X 4+X 3+X+1 [1111111111111]

thumbnail of autocorrelation function
Links
See the following presentation for more details.
For a
presentation on tracking the GIOVE-A using the generated code.
For details on how the SGMS results were verified,
CONTINUE
NEW! For details on GIOVE-A E5 Code,
CONTINUE
For details on GIOVE-A E6 Commercial Service Codes, CONTINUE
top |