CS 106B: Programming Abstractions
Fall 2025, Stanford University Computer Science Department
Lecturer: Chris Gregg, Head CA: Yasmine Alonso
Announcements
- Assignment 6 due Friday
Today’s Topics
- Refresh on what pointer diagrams represent
- Quick comment on references to pointers
- Introduction to the tree data structure
- You’ve already seen lots of tree structures
- Tree terminology
- How do we build trees programatically?
- Writing code to traverse a tree
- Code
Pointer Diagram Refresh
- The following diagram was put together by a former CS106B student:
- Pointers have values that are memory addresses.
- All variables and objects have their own memory address where they are located
- The
nextpointer is a memory address
Trees
-
We have seen trees in this class before, in the form of decision trees:

-
Trees can describe hirearchies:

-
Trees can describe websites:

-
Trees can desceribe programs (we often call them abstract syntax trees (the following is a figure in an academic paper written by a recent CS 106 student!)
// Example student solution function run() { // move then loop move(); // the condition is fixed while (notFinished()) { if (isPathClear()) { move(); } else { turnLeft(); } // redundant move(); } }
Trees are inherently recursive
- What is a tree in computer science?
- A tree is a collection of nodes, which can be empty. If it is not empty, there is a root node,
r, and zero or more non-empty subtrees,T1,T2, …,Tk, whose roots are connected by a directed edge fromr.
- A tree is a collection of nodes, which can be empty. If it is not empty, there is a root node,
(root)
-----------A--------------
↙︎ ↙︎ ↙︎ ↓ ↘︎ ↘︎
B C D E F-- G
↙︎ ↙︎ ↘︎ ↙︎ ↘︎ ↘︎ ↘︎
H I J K L M N
↙︎ ↘︎
O P
- There are N nodes and N-1 edges in a tree.
- Tree terminology. In the diagram above:
- B is a child of A, and F is a child of A and a parent of K, L, M.
- Nodes with no children are leaves. Nodes B, C, H, I, K, L, M, N, O, and P are all leaves.
- Nodes with the same parent are siblings. I and J are siblings. K, L, and M are siblings. Nodes O and P are siblings. Nodes H and N do not have any siblings (only children).
More Tree Terminology
(root)
A--------------
↓ ↘︎ ↘︎
E F G
↙︎ ↘︎ ↙︎ ↘︎ ↘︎ ↘︎
I J K L M N
↙︎ ↘︎
O P
- We can define a path from a parent to its children. The path from A to O is: A-E-J-O.
- The path A-E-J-O has a length of three (the number of edges).
- The depth of a node is the length from the root. The depth of node J is 2. The depth of the root is 0.
- The height of a node is the longest path from the node to a leaf. The height of node F is 1. The height of all leaves is 0.
- The height of a tree is the height of the root. The height of the above tree is 3.
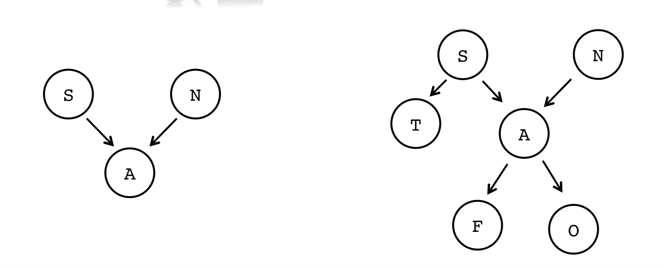
One Parent, No Cycles
-
Tree nodes can only have one parent, and they cannot have cycles

-
Not a tree (A has two parents):
S N ↘︎ ↙︎ A -
Again: not a tree (A has two parents):
S N ↙︎ ↘︎ ↙︎ T A ↙︎↘︎ F O -
The following are not trees, either, because you can cycle through the tree. Nodes cannot have children that are on the same level or above on the tree:

-
Not a tree (cycle from N back to S):
→→→→S ↑ ↙︎ ↘︎ ↑ T A ↑↙︎ N -
Again: not a tree (the arrow from T to A causes a cycle):
S ↙︎ ↘︎ T→→→A ↙︎ N
Building trees programatically
- To build a tree, we need a new version of our
Node. In this case, we want eachNodeto have a data value (like a linked list), but now we want to pointers, one to the left child, and one to the right child:struct TreeNode { string data; TreeNode* left; TreeNode* right; };
- We don’t have to limit ourselves to binary trees, by the way: we could have a ternary tree:
struct TernaryTreeNode { string data; TernaryTreeNode* left; TernaryTreeNode* middle; TernaryTreeNode* right; };
- In fact, we could have any number of children (we may look at the Trie data structure, which can be built this way). This is an N-ary Tree:
struct NAryTreeNode { string data; Vector<NAryTreeNode*> children; };
Traversing a Tree
- Often, we will want to do something with each node in a tree. Like linked lists, we can traverse the tree, but it is more involved because of all the branching.
- There are four different ways to traverse a binary tree:
- Pre-order
- In-order
- Post-order
- Level-order
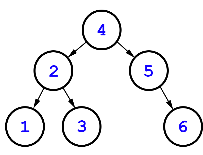
- Let’s write some code for each traversal to see the differences. We’ll look at two trees:
this ↙︎ ↘︎ is written ↙︎ ↘︎ ↘︎ a correctly sentence - We’ll also look at:
4 ↙︎ ↘︎ 2 5 ↙︎ ↘︎ ↘︎ 1 3 6 - By the way: trees do not have to be complete, like heaps. Any node can have 0, 1, or 2 children.
Pre-order traversal
- The algorithm for a pre-order traversal is as follows:
- Do something
- Go left
- Go right
- This is an inherently recursive algorithm
- For our tests, let’s make the “Do something” part print the data at a particular node.
- Code:
void preOrder(TreeNode* tree) { if(tree == nullptr) return; cout<< tree->data <<" "; preOrder(tree->left); preOrder(tree->right); }
In-order traversal
- The algorithm for a in-order traversal is as follows:
- Go left
- Do something
- Go right
- This is also an inherently recursive algorithm
- Code:
void inOrder(TreeNode* tree) { if(tree == nullptr) return; inOrder(tree->left); cout<< tree->data <<" "; inOrder(tree->right); }
Post-order traversal
- The algorithm for a post-order traversal is as follows:
- Go left
- Go right
- Do something
- This is also an inherently recursive algorithm
- Code:
void postOrder(TreeNode* tree) { if(tree == nullptr) return; postOrder(tree->left); postOrder(tree->right); cout<< tree->data <<" "; }
Level-order traversal
- A level order traversal is different than all the others – we want to go one level at a time and print out each node, then go to the next level.
- For this tree, it would be:
this is written a correctly sentence
- Can we do this recursively!
- But, we can use an algorithm you’ve seen before: breadth first search!
- This is going to use a queue, just like the BFS you did for your maze solving assignment.
- Enqueue the root node
- While the queue is not empty
- dequeue a node
- do something with the node
- enqueue the left child if it exists
- enqueue the right child if it exists
- This is going to use a queue, just like the BFS you did for your maze solving assignment.
- Code:
void levelOrder(TreeNode *tree) { Queue<TreeNode*> queue; queue.enqueue(tree); while (!queue.isEmpty()) { TreeNode* element = queue.dequeue(); if (element != nullptr) { cout << element->data << " "; queue.enqueue(element->left); queue.enqueue(element->right); } } }
The Trie data structure
- A trie (pronounced “try”) is a tree-based data structure used for efficiently storing and retrieving strings, where each node represents a single character and paths from the root to nodes spell out strings.
- Each node contains a collection of child pointers (typically mapped by character) and often a flag indicating whether that node marks the end of a valid word.
- Tries excel at prefix-based operations like autocomplete and spell-checking because all strings with a common prefix share the same path from the root.
- The time complexity for search, insert, and delete operations is $O(m)$, where $m$ is the length of the string, making tries very efficient for dictionary-like applications.
The following is a trie after adding the following strings: “apple”, “app”, “bat”, “ball”, “cats”: