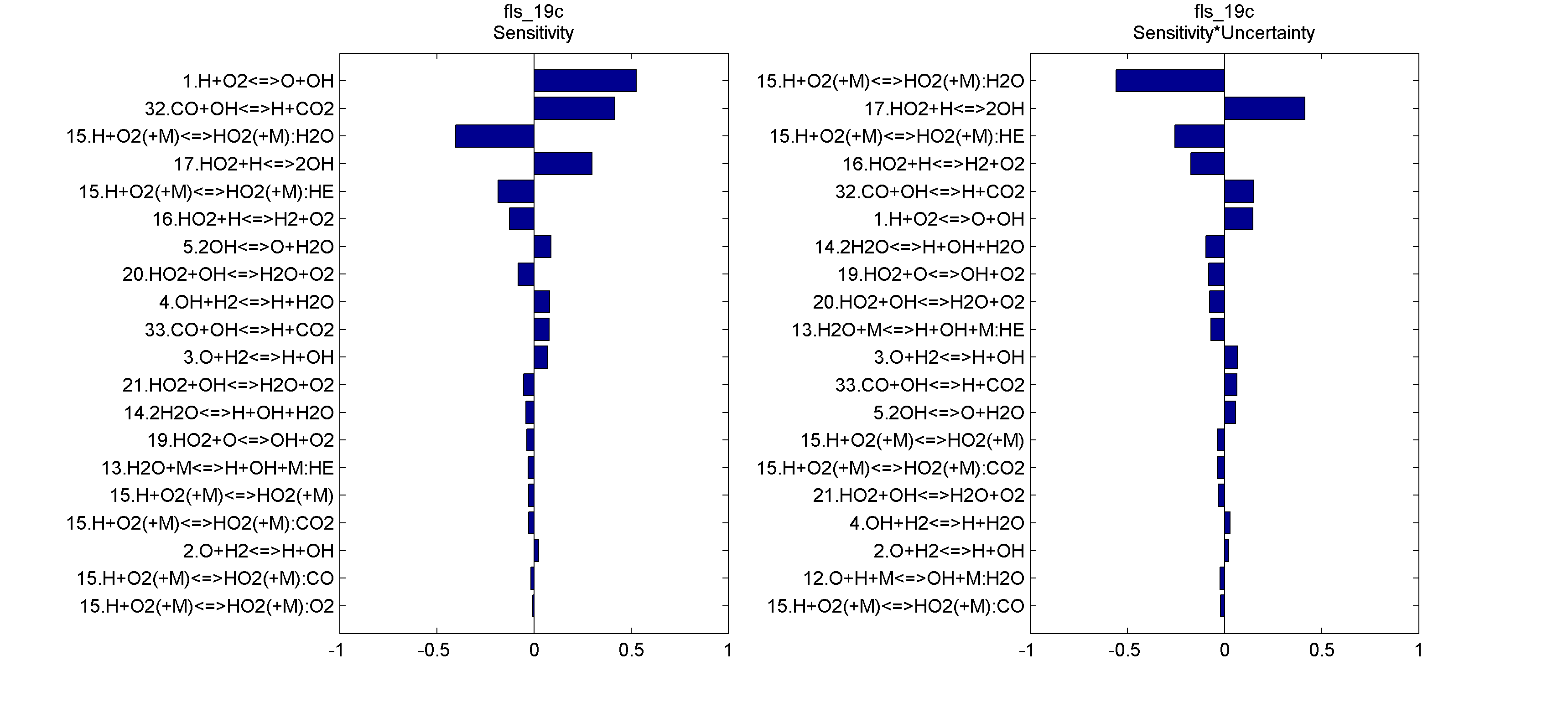
| Name | fls_19c | ![]() |
||
|---|---|---|---|---|
| Target Type | laminar flame speed | |||
| Composition | 0.05430 H2/0.05430 CO/0.06388 O2/0.05 H2O/He | |||
| Temperature Tu (K) | 393 | |||
| Pressure p (atm) | 10 | |||
| Experiment | Trial | Optimized | ||
| Nominal Value (cm/s) | 20.8 | 24.1 | 19.9 | |
| Uncertainty (σ, cm/s) | 2.1 | 6.2 | 0.8 | |
| Sensitivity | ![]() |
|||
| Reference(s) | |
|---|---|
| SDJ2012 | Santner J, Dryer FL, Ju Y. The effects of water dilution on hydrogen, syngas, and ethylene flames at elevated pressure. Proc Combust Inst. 2013;34:719–26. |






