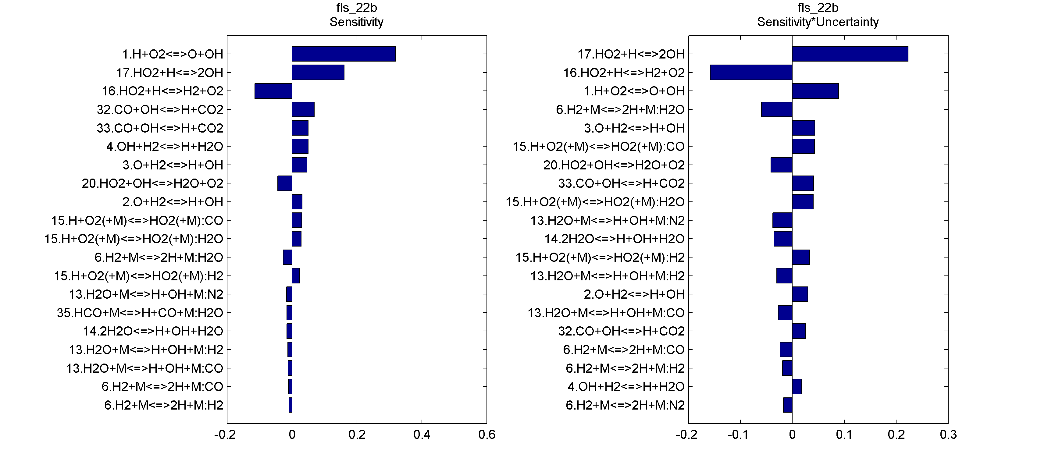
Name fls_22b Plot data are not available, please refer to the target description.
Target Type laminar flame speed
Composition 50% CO/50% H2/Air, ϕ=3.05
Temperature Tu (K) 300
Pressure p (atm) 1
  Experiment Trial Optimized
Nominal Value (cm/s) 155.3 169.5 158.2
Uncertainty (σ, cm/s) 6.9 14.3 3.2
Sensitivity

Reference(s)
BCG2011 Bouvet N, Chauveau C, Gökalp I, Halter F. Experimental studies of the fundamental flame speeds of syngas (H2/CO)/air mixtures. Proc Combust Inst. 2011;33:913–20.
BQJ2007 Burke MP, Qin X, Ju Y, Dryer FL. Measurements of hydrogen syngas flame speeds at elevated pressures. 5th US Combustion Meeting; March 25–27, 2007; San Diego, California.
MST1994 McLean IC, Smith DB, Taylor SC. The use of carbon monoxide/hydrogen burning velocities to examine the rate of the CO+ OH reaction. Symp (Int) Combust. 1994;25:749–57.
NLS2007 Natarajan J, Lieuwen T, Seitzman J. Laminar flame speeds of H2/CO mixtures: effect of CO2 dilution, preheat temperature, and pressure. Combust Flame. 2007;151:104–19.
PRR2008 Prathap C, Ray A, Ravi MR. Investigation of nitrogen dilution effects on the laminar burning velocity and flame stability of syngas fuel at atmospheric condition. Combust Flame. 2008;155:145–60.
SNT2012 Singh D, Nishiie T, Tanvir S, Qiao L. An experimental and kinetic study of syngas/air combustion at elevated temperatures and the effect of water addition. Fuel. 2012;94:448–56.
SYJ2007 Sun H, Yang SI, Jomaas G, Law CK. High–pressure laminar flame speeds and kinetic modeling of carbon monoxide/hydrogen combustion. Proc Combust Inst. 2007;31:439–46.