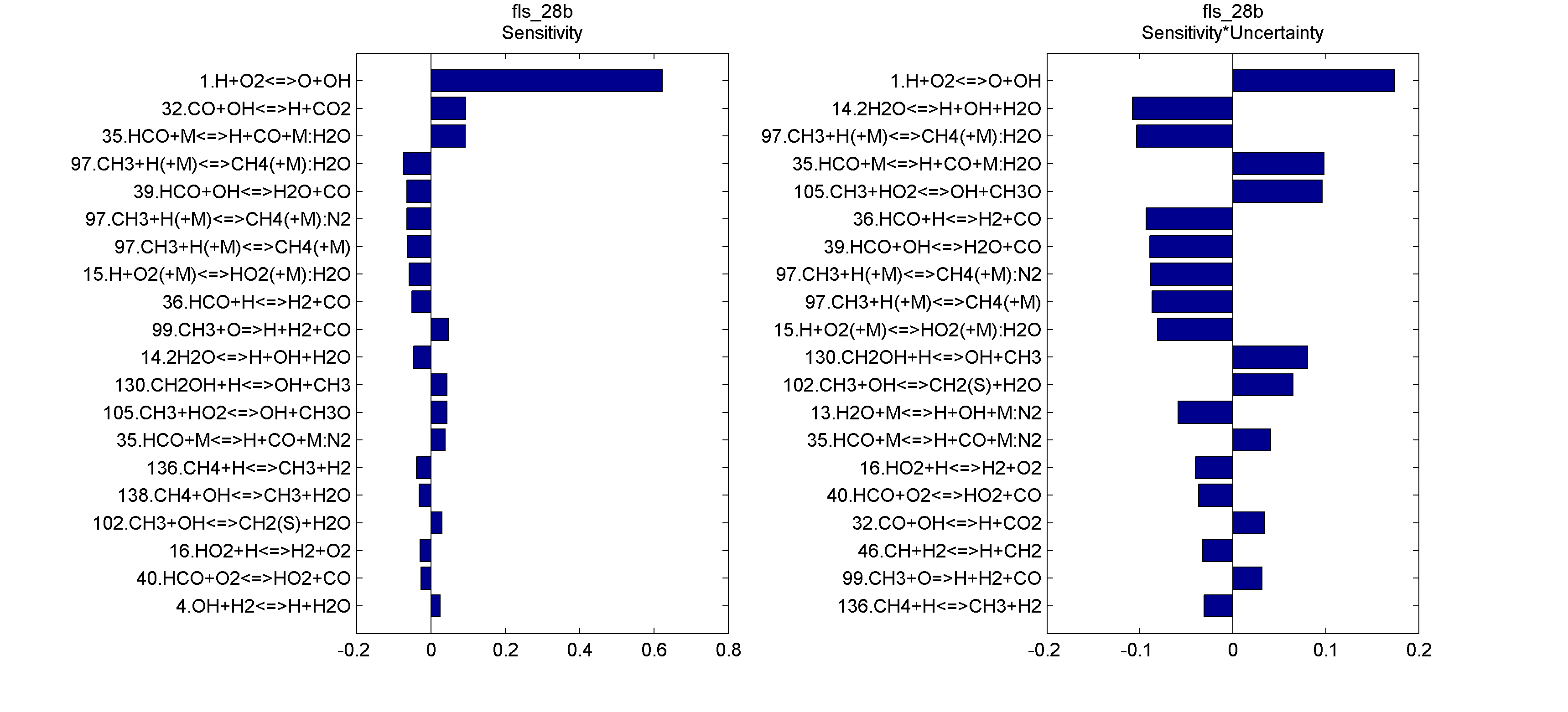
Name fls_28b Plot data are not available, please refer to the target description.
Target Type laminar flame speed
Composition CH4/air, ϕ=1.0
Temperature Tu (K) 298
Pressure p (atm) 2
  Experiment Trial Optimized
Nominal Value (cm/s) 28.5 26.4 27.7
Uncertainty (σ, cm/s) 1.2 2.7 0.7
Sensitivity

Reference(s)
HAF1998 Hassan MI, Aung KT, Faeth GM. Measured and predicted properties of laminar premixed methane/air flames at various pressures. Combust Flame. 1998;115:539–50.
PVL2011 Park O, Veloo PS, Liu N, Egolfopoulos FN. Combustion characteristics of alternative gaseous fuels. Proc Combust Inst. 2011;33:887–94.
RZL2002 Rozenchan G, Zhu DL, Law CK, Tse SD. Outward propagation, burning velocities, and chemical effects of methane flames up to 60 atm. Proc Combust Inst. 2002;29:1461–70.
ZEL1989 Zhu DL, Egolfopoulos FN, Law CK. Experimental and numerical determination of laminar flame speeds of methane/(Ar, N2, CO2)–air mixtures as function of stoichiometry, pressure, and flame temperature. Symp (Int) Combust. 1989;22:1537–45.