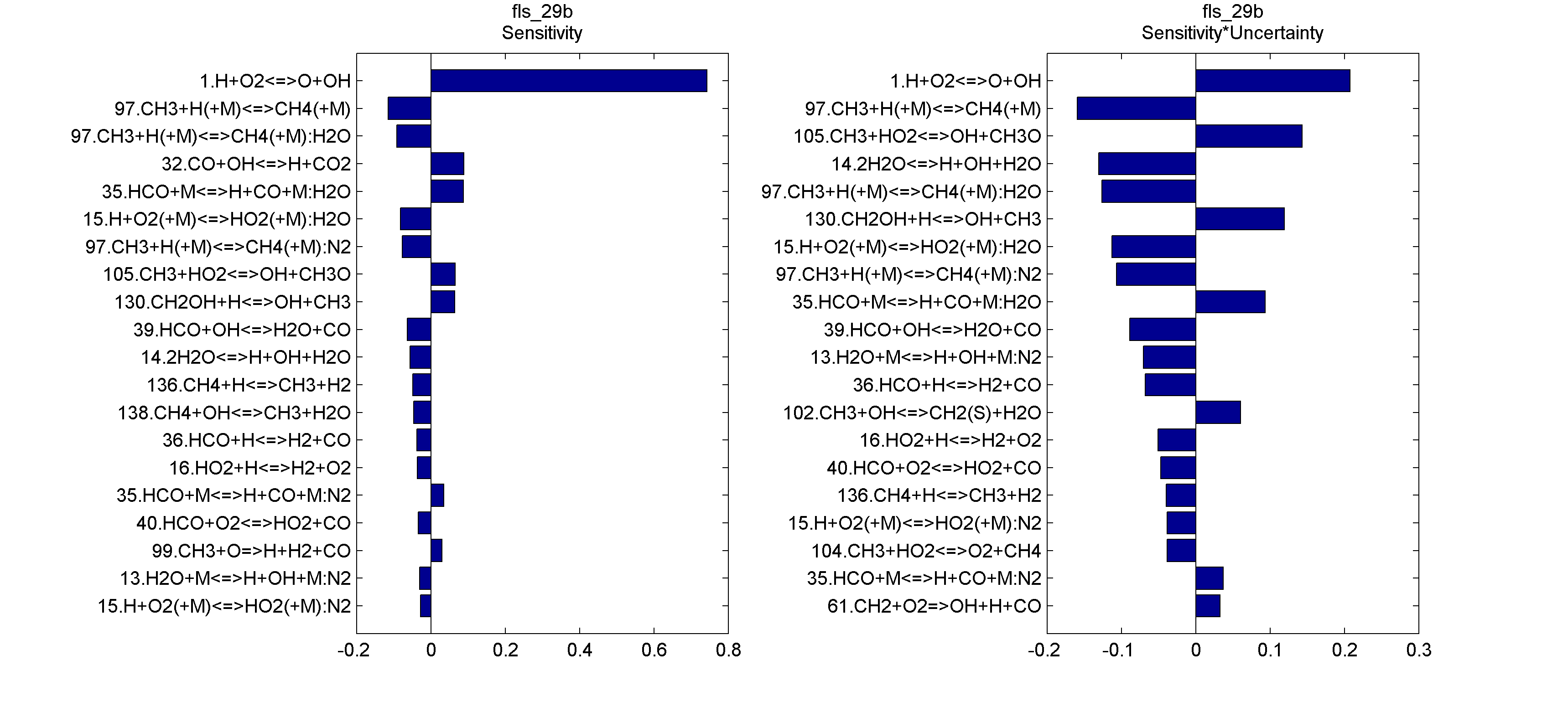
| Name | fls_29b | ![]() |
||
|---|---|---|---|---|
| Target Type | laminar flame speed | |||
| Composition | CH4/air, ϕ=1.0 | |||
| Temperature Tu (K) | 300 | |||
| Pressure p (atm) | 5 | |||
| Experiment | Trial | Optimized | ||
| Nominal Value (cm/s) | 18.5 | 18.3 | 19.5 | |
| Uncertainty (σ, cm/s) | 2.0 | 2.3 | 0.5 | |
| Sensitivity | ![]() |
|||
| Reference(s) | |
|---|---|
| RZL2002 | Rozenchan G, Zhu DL, Law CK, Tse SD. Outward propagation, burning velocities, and chemical effects of methane flames up to 60 atm. Proc Combust Inst. 2002;29:1461–70. |






