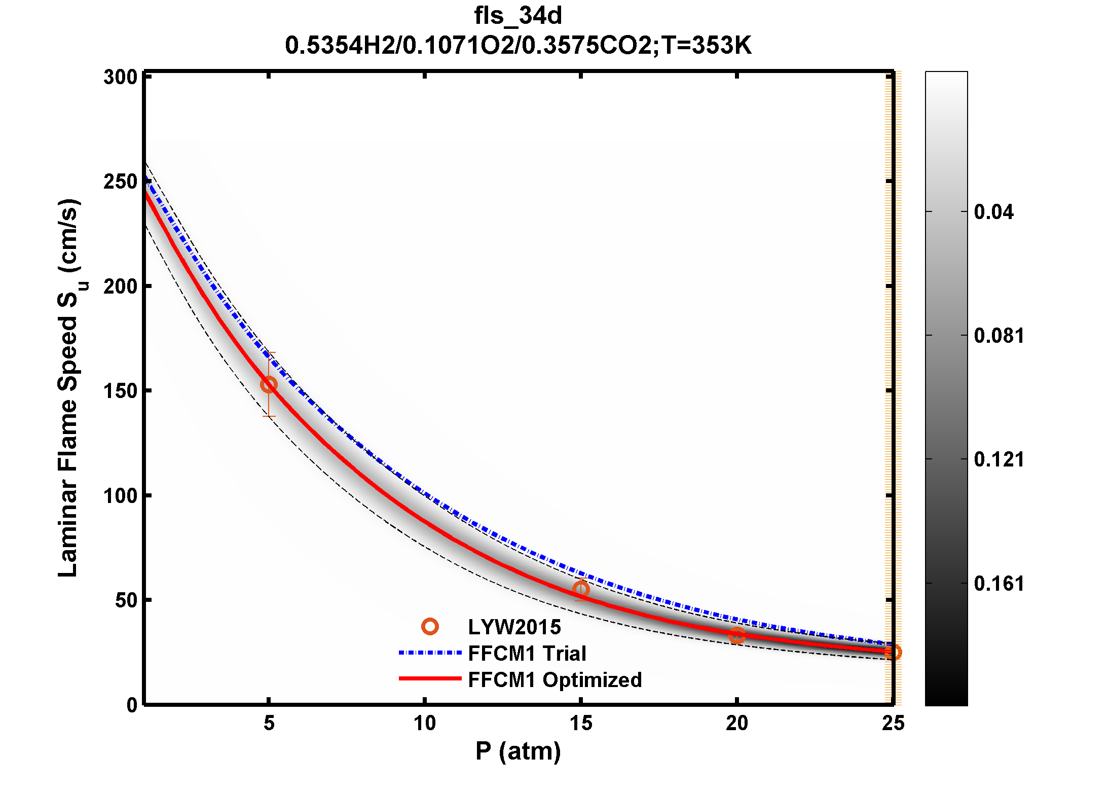
| Name | fls_34d | ![]() |
||
|---|---|---|---|---|
| Target Type | laminar flame speed | |||
| Composition | 0.5354 H2/0.1071 O2/0.3575 CO2 | |||
| Temperature Tu (K) | 353 | |||
| Pressure p (atm) | 25 | |||
| Experiment | Trial | Optimized | ||
| Nominal Value (cm/s) | 25 | 28.7 | 25.2 | |
| Uncertainty (σ, cm/s) | 2.5 | 22.2 | 1.6 | |
| Sensitivity | ![]() |
|||
| Reference(s) | |
|---|---|
| LYW2015 | Li X, You X, Wu F, Law CK. Uncertainty analysis of the kinetic model prediction for high–pressure H2/CO combustion. Proc Combust Inst. 2015;35:617–24. |






