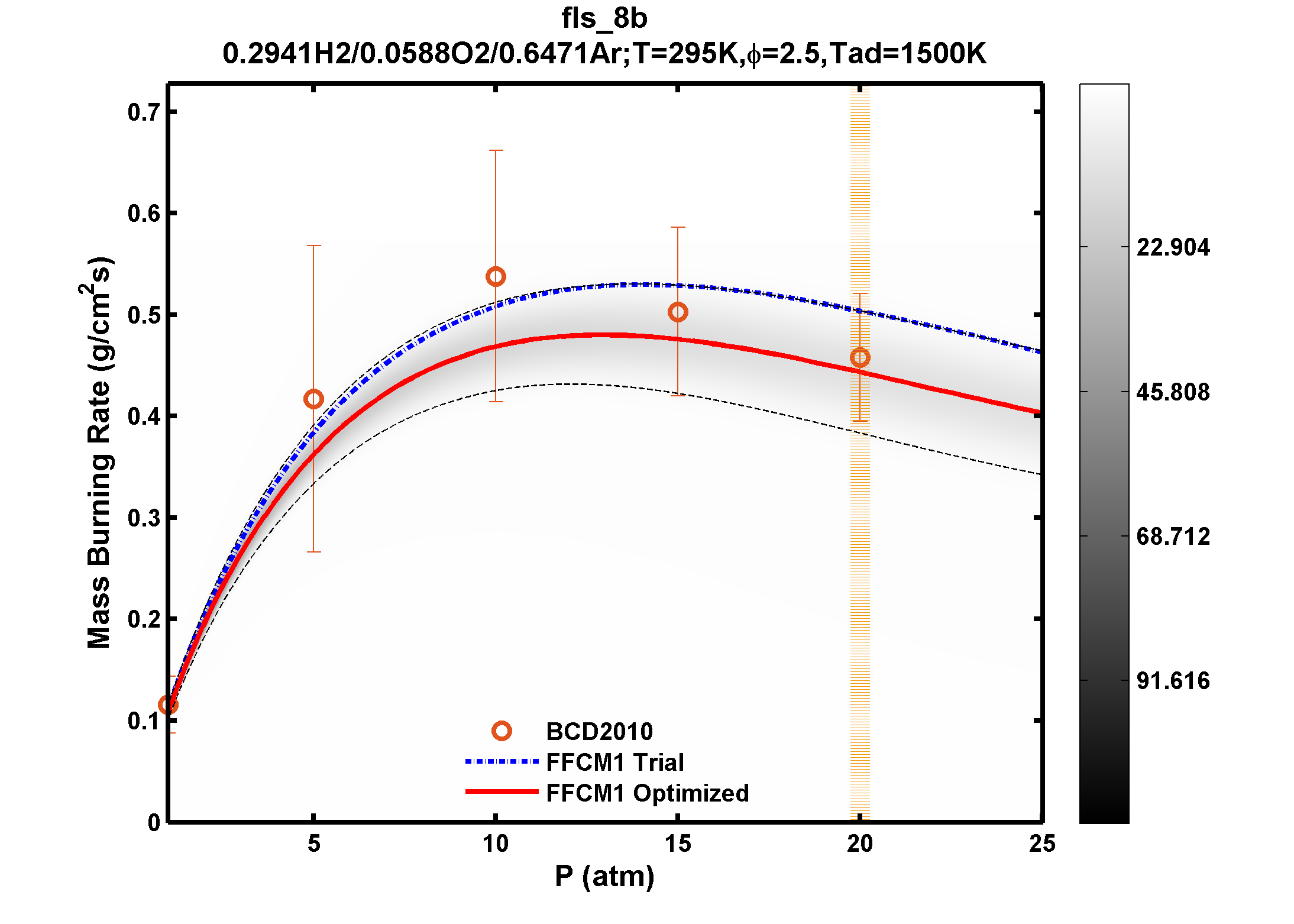
| Name | fls_8b | ![]() |
||
|---|---|---|---|---|
| Target Type | laminar flame speed | |||
| Composition | 0.2941 H2/0.0588 O2/0.6471 Ar | |||
| Temperature Tu (K) | 295 | |||
| Pressure p (atm) | 20 | |||
| Experiment | Trial | Optimized | ||
| Nominal Value (cm/s) | 19.6 | 20.9 | 18.4 | |
| Uncertainty (σ, cm/s) | 2.7 | 10.7 | 1.0 | |
| Sensitivity | ![]() |
|||
| Reference(s) | |
|---|---|
| BCD2010 | Burke MP, Chaos M, Dryer FL, Ju Y. Negative pressure dependence of mass burning rates of H2/CO/O2/diluent flames at low flame temperatures. Combust Flame. 2010;157:618–31. |






