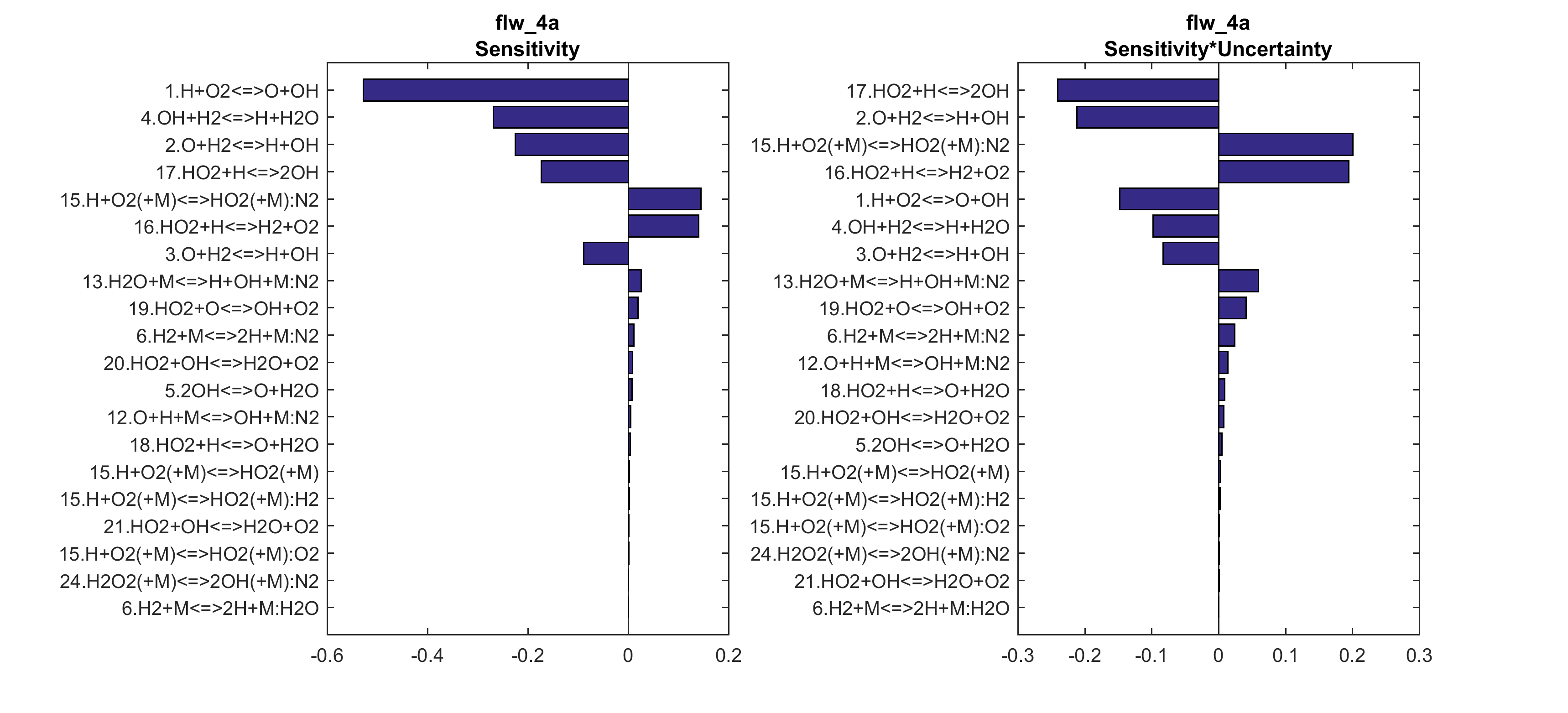
| Name | flw_4a | ![]() |
||
|---|---|---|---|---|
| Target Type | flow reactor | |||
| Definition | time to [H2]max/2 | |||
| Composition | 0.5% H2/0.5% O2/99% N2 | |||
| Temperature T0 (K) | 880 | |||
| Pressure p0 (atm) | 0.3 | |||
| Experiment | Trial | Optimized | ||
| Nominal Value (μs) | 13000 | 12840 | 13040 | |
| Uncertainty (σ) | ×/÷ 1.11 | ×/÷ 1.33 | ×/÷ 1.10 | |
| Sensitivity | ![]() |
|||
| Reference(s) | |
|---|---|
| MKY1999 | Mueller MA, Kim TJ, Yetter RA, Dryer FL. Flow reactor studies and kinetic modeling of the H2/O2 reaction. Int J Chem Kinet. 1999;31:113-25. |






