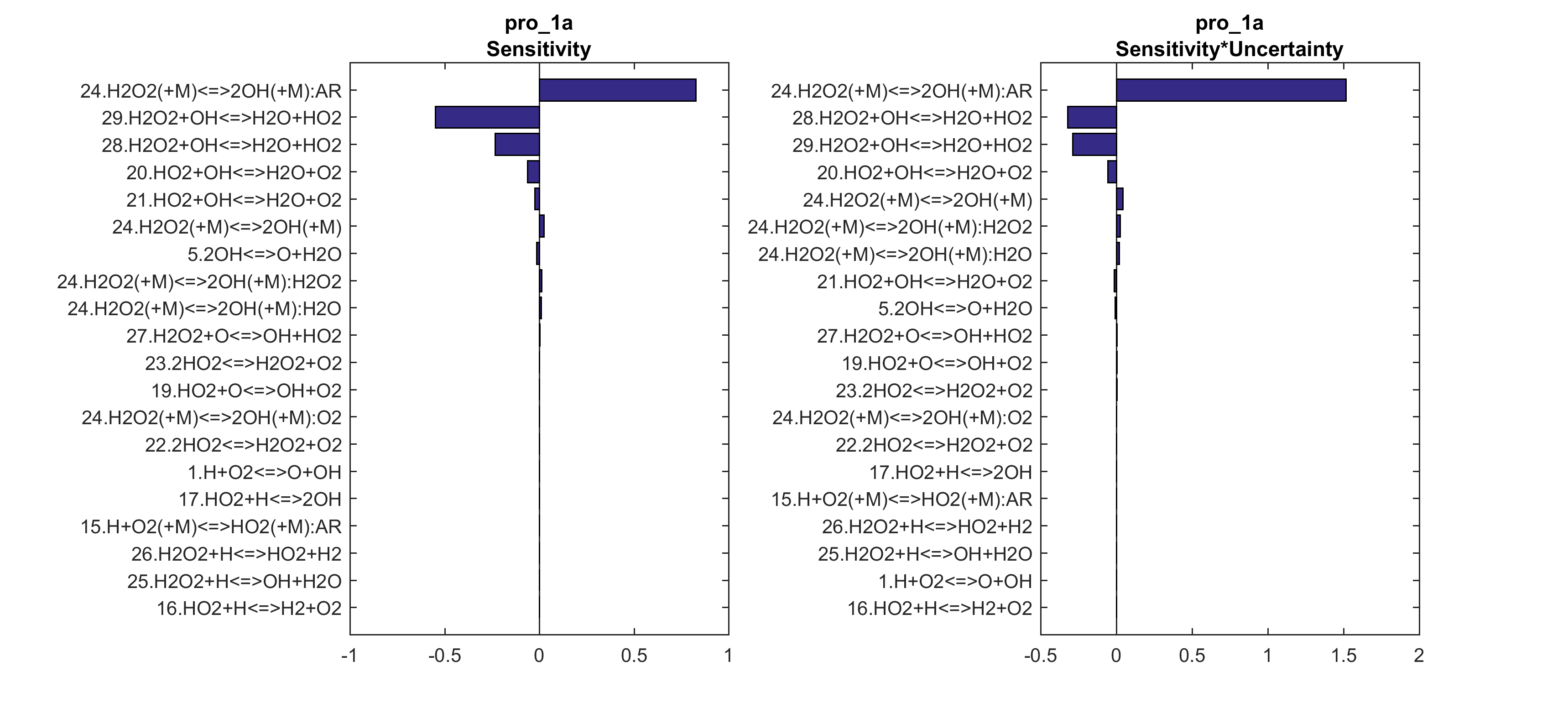
| Name | pro_1a | ![]() |
||
|---|---|---|---|---|
| Target Type | shock tube measurement | |||
| Definition | [OH]max | |||
| Composition | 2216ppm H2O2/1364ppm H2O/682ppm O2/Ar | |||
| Temperature T5 (K) | 1192 | |||
| Pressure p5 (atm) | 1.95 | |||
| Experiment | Trial | Optimized | ||
| Nominal Value (ppm ) | 65.6 | 70.8 | 64.2 | |
| Uncertainty (σ) | ×/÷ 1.15 | ×/÷ 1.52 | ×/÷ 1.08 | |
| Sensitivity | ![]() |
|||
| Reference(s) | |
|---|---|
| HCD2010 | Hong Z, Cook RD, Davidson DF, Hanson RK. A shock tube study of OH+ H2O2→ H2O+ HO2 and H2O2+ M→ 2OH+ M using laser absorption of H2O and OH. J Phys Chem A. 2010;114:5718-27. |






