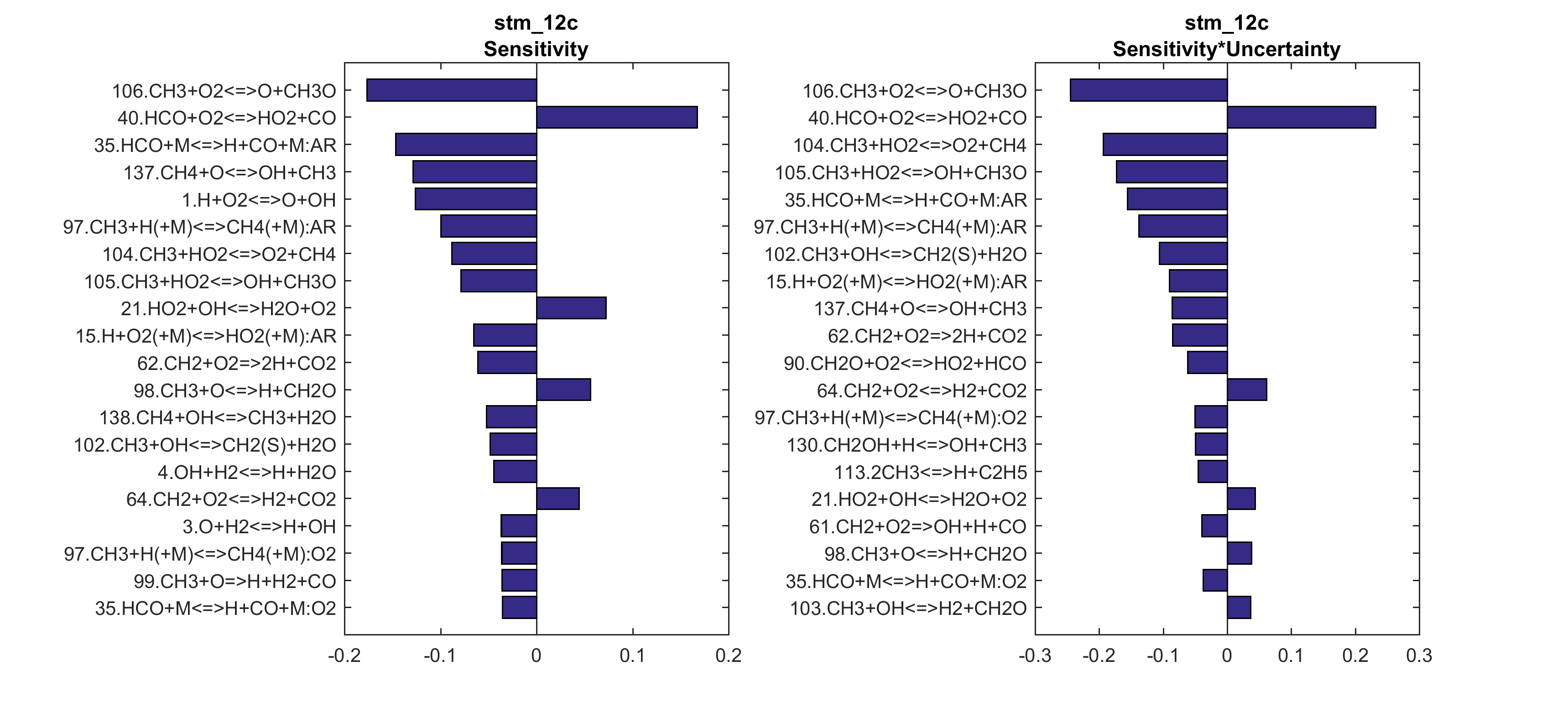
| Name | stm_12c | ![]() |
||
|---|---|---|---|---|
| Target Type | shock tube measurement | |||
| Definition | time to [OH]max/2 | |||
| Composition | 0.4% CH4/20% O2/79.6% Ar | |||
| Temperature T5 (K) | 1900 | |||
| Pressure p5 (atm) | 1.64 | |||
| Experiment | Trial | Optimized | ||
| Nominal Value (μs) | 73 | 73.7 | 73.8 | |
| Uncertainty (σ) | ×/÷ 1.07 | ×/÷ 1.15 | ×/÷ 1.04 | |
| Sensitivity | ![]() |
|||
| Reference(s) | |
|---|---|
| YWF1995 | Yu C-L, Wang C, Frenklach M. Chemical kinetics of methyl oxidation by molecular oxygen. J Phys Chem. 1995;99:14377-87. |






