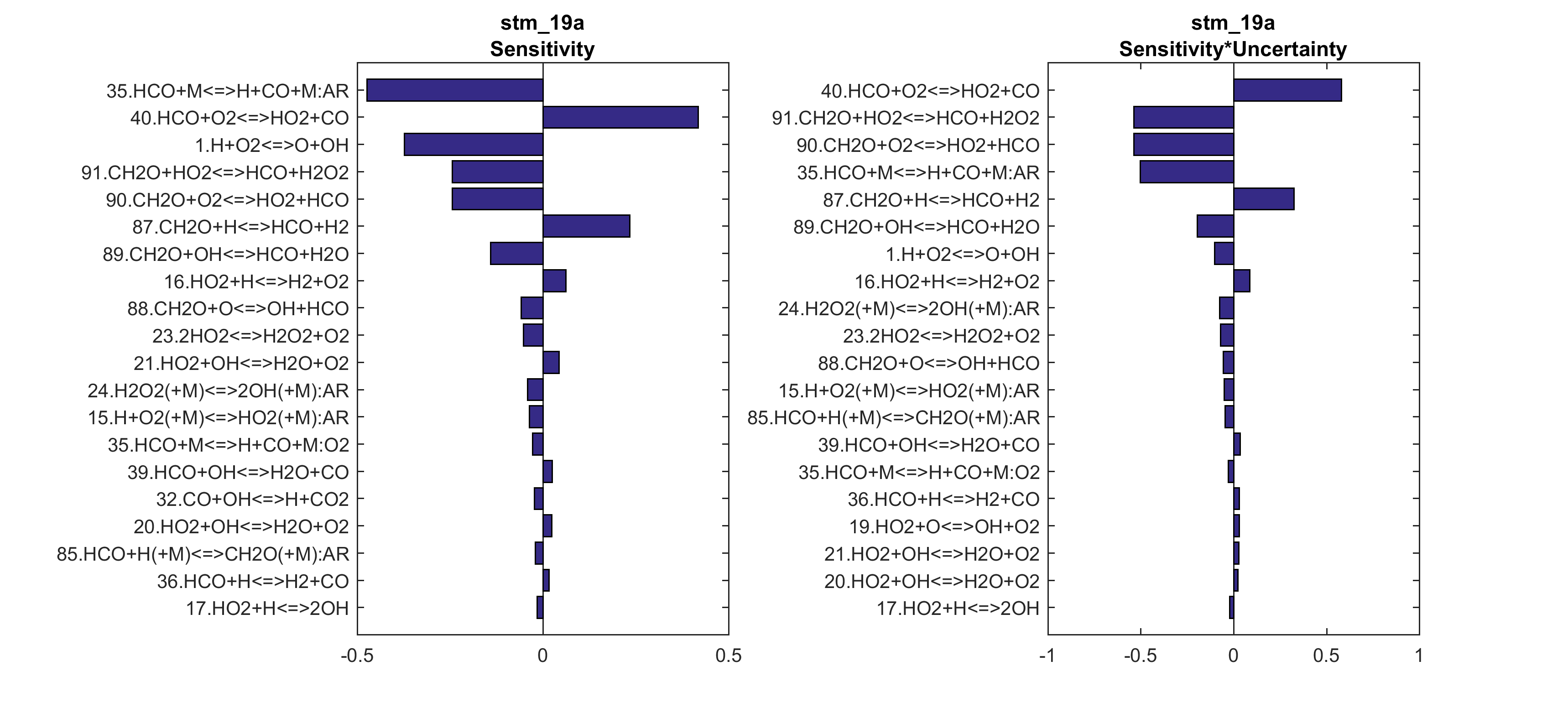
| Name | stm_19a | ![]() |
||
|---|---|---|---|---|
| Target Type | shock tube measurement | |||
| Definition | time to [CO]max/2 | |||
| Composition | 1.0% CH2O/5.96% O2/93.02% Ar | |||
| Temperature T0 (K) | 1768 | |||
| Pressure p0 (atm) | 0.911 | |||
| Experiment | Trial | Optimized | ||
| Nominal Value (μs) | 26.8 | 46.0 | 32.5 | |
| Uncertainty (σ) | ×/÷ 1.16 | ×/÷ 1.35 | ×/÷ 1.09 | |
| Sensitivity | ![]() |
|||
| Reference(s) | |
|---|---|
| EYG1998 | Eiteneer B, Yu CL, Goldenberg M, Frenklach M. Determination of rate coefficients for reactions of formaldehyde pyrolysis and oxidation in the gas phase. J Phys Chem A. 1998;102:5196–205. |






