Loglinear models (Chs. 9 & 10)

  • Models for contingency tables

  • Estimation via pseudo-likelihood.

Two-way tables

  • \(N_{ij} \sim \text{Poisson}(\mu_{ij})\), \(1 \leq i \leq I, 1 \leq j \leq J\)

  • Independence model $\( \log(\mu_{ij}) = \lambda + \lambda_i^X + \lambda_j^Y \)$

  • Saturated model $\( \log(\mu_{ij}) = \lambda + \lambda_i^X + \lambda_j^Y + \lambda_{ij}^{XY} \)$


Model for joint law

  • Can be thought of as drawing a Poisson number of samples from some joint distribution for \((X,Y)\):

\[ P(X=i,Y=j) = \frac{\mu_{ij}}{\sum_{ab} \mu_{ab}}. \]
  • Saturated model is overparametrized, typical constraints (using baseline categories)

\[\begin{split} \begin{aligned} \lambda^X_I &= 0 \\ \lambda^Y_J &= 0 \\ \lambda^{XY}_{iJ} &= \lambda^{XY}_{Ij} = 0 \end{aligned} \end{split}\]
  • Form of regression function implies conditional independencies when using log-linear model.


Three way tables (9.3)

  • Saturated

\[\begin{split} \begin{aligned} \log(\mu_{ijk}) &= \lambda + \lambda^X_i + \lambda^Y_j + \lambda^Z_k \\ & \qquad + \lambda^{XY}_{ij} +\lambda^{YZ}_{jk} +\lambda^{XZ}_{ik} \\ & \qquad + \lambda^{XYZ}_{ijk} \end{aligned} \end{split}\]
  • Homogeneous association model: \(\lambda^{XYZ}_{ijk} \equiv 0\) (more generally, no 3-way or higher interactions)


Mutual independence

\[ \log(\mu_{ijk}) = \lambda + \lambda^X_i + \lambda^Y_j + \lambda^Z_k \]
\[ \mu_{ijk} \propto e^{\lambda^X_i} \cdot e^{\lambda^Y_j} \cdot e^{\lambda^Z_k}. \]

Joint independence: \(Y\) independent of \((X,Z)\)

\[ \log(\mu_{ijk}) = \lambda + \lambda^X_i + \lambda^Y_j + \lambda^Z_k + \lambda^{XZ}_{ik} \]
\[ \mu_{ijk} \propto e^{\lambda^Y_j} \cdot e^{\lambda^X_i + \lambda^{Z}_k + \lambda^{XZ}_{ik}}. \]

Conditional independence of \(Y\) and \(X\) given \(Z\)

\[ \log(\mu_{ijk}) = \lambda + \lambda^X_i + \lambda^Y_j + \lambda^Z_k + \lambda^{XZ}_{ik} + \lambda^{YZ}_{jk} \]
\[ \mu_{ijk} \propto e^{\lambda^Y_j + \lambda^{YZ}_{jk}} \cdot e^{\lambda^X_i + \lambda^{Z}_k + \lambda^{XZ}_{ik}}. \]

Test of conditional independence

\[ H_0: \lambda^{XY}_{ij} \equiv 0, \lambda^{XYZ}_{ijk} \equiv 0 \]
\[ H_a: \lambda^{XYZ}_{ijk} \equiv 0 \]

# Table 9.1 of Agresti
library(vcdExtra) # for `DaytonSurvey` data
data(DaytonSurvey)
Dayton.aggregated = aggregate(Freq ~ cigarette + alcohol + marijuana, 
                              data=DaytonSurvey, FUN=sum)
Dayton.aggregated
Loading required package: vcd
Loading required package: grid
Loading required package: gnm
A data.frame: 8 × 4
cigarettealcoholmarijuanaFreq
<fct><fct><fct><dbl>
YesYesYes911
No YesYes 44
YesNo Yes 3
No No Yes 2
YesYesNo 538
No YesNo 456
YesNo No 43
No No No 279
full.model = glm(Freq ~ .^2, data=Dayton.aggregated, family=poisson)  # homogeneous association: only up to 2way interactions
summary(full.model)
Call:
glm(formula = Freq ~ .^2, family = poisson, data = Dayton.aggregated)

Deviance Residuals: 
       1         2         3         4         5         6         7         8  
 0.02044  -0.09256  -0.33428   0.49134  -0.02658   0.02890   0.09452  -0.03690  

Coefficients:
                        Estimate Std. Error z value Pr(>|z|)    
(Intercept)              6.81387    0.03313 205.699  < 2e-16 ***
cigaretteNo             -3.01575    0.15162 -19.891  < 2e-16 ***
alcoholNo               -5.52827    0.45221 -12.225  < 2e-16 ***
marijuanaNo             -0.52486    0.05428  -9.669  < 2e-16 ***
cigaretteNo:alcoholNo    2.05453    0.17406  11.803  < 2e-16 ***
cigaretteNo:marijuanaNo  2.84789    0.16384  17.382  < 2e-16 ***
alcoholNo:marijuanaNo    2.98601    0.46468   6.426 1.31e-10 ***
---
Signif. codes:  0 ‘***’ 0.001 ‘**’ 0.01 ‘*’ 0.05 ‘.’ 0.1 ‘ ’ 1

(Dispersion parameter for poisson family taken to be 1)

    Null deviance: 2851.46098  on 7  degrees of freedom
Residual deviance:    0.37399  on 1  degrees of freedom
AIC: 63.417

Number of Fisher Scoring iterations: 4
reduced.model = glm(Freq ~ alcohol + marijuana + cigarette + 
                    alcohol:marijuana + 
                    cigarette:marijuana, 
                    data=Dayton.aggregated, family=poisson)
summary(reduced.model)
Call:
glm(formula = Freq ~ alcohol + marijuana + cigarette + alcohol:marijuana + 
    cigarette:marijuana, family = poisson, data = Dayton.aggregated)

Deviance Residuals: 
      1        2        3        4        5        6        7        8  
 0.0584  -0.2619  -0.8663   2.2287   4.5702  -4.3441  -9.7716   6.8353  

Coefficients:
                        Estimate Std. Error z value Pr(>|z|)    
(Intercept)              6.81261    0.03316 205.450   <2e-16 ***
alcoholNo               -5.25227    0.44837 -11.714   <2e-16 ***
marijuanaNo             -0.72847    0.05538 -13.154   <2e-16 ***
cigaretteNo             -2.98919    0.15111 -19.782   <2e-16 ***
alcoholNo:marijuanaNo    4.12509    0.45294   9.107   <2e-16 ***
marijuanaNo:cigaretteNo  3.22431    0.16098  20.029   <2e-16 ***
---
Signif. codes:  0 ‘***’ 0.001 ‘**’ 0.01 ‘*’ 0.05 ‘.’ 0.1 ‘ ’ 1

(Dispersion parameter for poisson family taken to be 1)

    Null deviance: 2851.46  on 7  degrees of freedom
Residual deviance:  187.75  on 2  degrees of freedom
AIC: 248.8

Number of Fisher Scoring iterations: 5
anova(reduced.model, full.model) # null: conditional independence of alcohol & cigarette | marijuana
A anova: 2 × 4
Resid. DfResid. DevDfDeviance
<dbl><dbl><dbl><dbl>
12187.7543029NA NA
21 0.3739859 1187.3803

Homogeneous association

  • If we fix \(Z=k\), then the dependence of \((X,Y)|Z=k\) can be described by local odds ratios of 2x2 table for \(X\in \{i,i+1\}\) and \(Y\in \{j,j+1\}\)

\[ \theta_{ij(k)} = \frac{\mu_{ijk} \mu_{i+1,j+1,k}}{\mu_{i+1,j,k} \mu_{i,j+1,k}}. \]
  • Under homogeneous association, these do not depend on \(k\)

\[ \log \theta_{ij(k)} = \lambda^{XY}_{ij} + \lambda^{XY}_{i+1,j+1} - \lambda^{XY}_{i+1,j} - \lambda^{XY}_{i,j+1} \]
  • Similarly for \(\theta_{(i)jk}\) and \(\theta_{i(j)k}\).


Why homogeneous association?

These models can be described by an undirected graph.

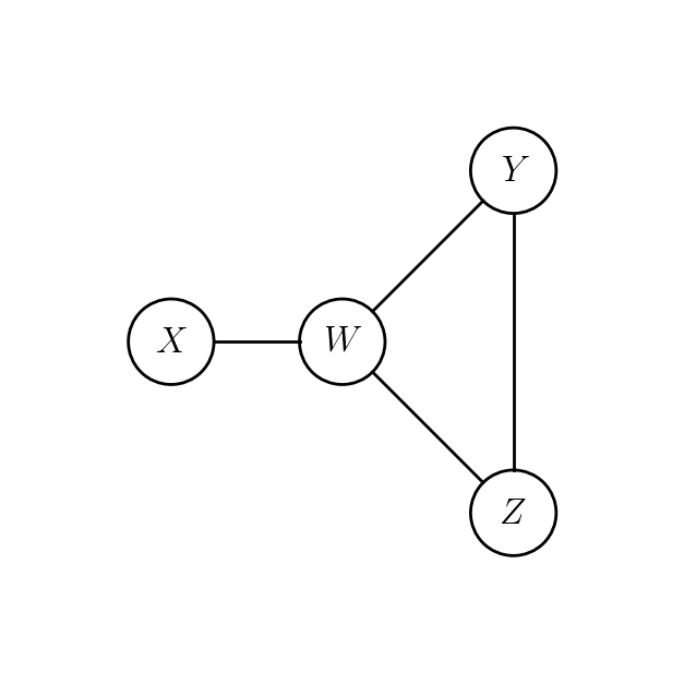
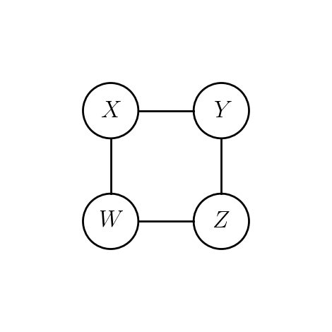
Mutual independence of \(Y\) and \((X,Z)\)


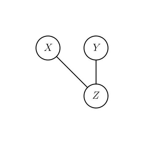
Conditional independence of \(Y\) and \(X\) given \(Z\)


Higher dimensional tables (9.4)

  • Homogeneous association model: no three way interactions

\[\begin{split} \begin{aligned} \log(\mu_{ijkl}) &= \lambda + \lambda^X_i + \lambda^Y_j + \lambda^Z_k + \lambda^W_l \\ & \qquad + \lambda^{XY}_{ij} + \lambda^{XZ}_{ik} + \lambda^{XW}_{il} \\ & \qquad + \lambda^{YZ}_{jk} + \lambda^{YW}_{jl} + \lambda^{ZW}_{kl} \end{aligned} \end{split}\]

  • In homogeneous association model, conditional independencies can be read off an undirected graph on vertices \(\{X,Y,Z,W\}\).


  • Homogeneous model with this graph has same conditional independencies as \((XW, WYZ)\).

  • \(\implies\) conditional independencies are not going to tell us whether there are any 3-way interactions or not.

  • \(W\) is conditionally independent of \(Y\) given \((X,Z)\).

  • \(X\) is conditionally independent of \(Z\) given \((W,Y)\).

  • Model: \(\lambda^{XZ}_{ik} \equiv 0, \lambda^{YW}_{jl} \equiv 0\).


  • Generally, for vertex \(v\) set \(N(v)\) to be its neighbors in the graph \(G=(E,V)\).

  • The conditional independencies: \(v\) is independent of \((\{v\} \cup N(v))^c\) given \(N(v)\).


Connection with logistic regression (9.5)

  • For simplicity let’s assume each of \((X,Y,Z,W)\) is binary.

  • In complete graph

\[\begin{split} \begin{aligned} \log \left(\frac{P(Y=1|X=i,Z=k,W=l)}{P(Y=0|X=i,Z=k,W=l)}\right) &= \log\left(\frac{\mu_{i1kl}}{\mu_{i0kl}}\right) \\ &= \lambda^Y_1 - \lambda^Y_0 + \\ & \qquad \lambda^{XY}_{i1} - \lambda^{XY}_{i0} + \\ & \qquad \lambda^{YZ}_{1k} - \lambda^{YZ}_{0k} + \\ & \qquad \lambda^{YW}_{1l} - \lambda^{YW}_{0l} \end{aligned} \end{split}\]
  • A logistic regression model with Binomial outcome \(Y_{ikl}\) and 3-column design matrix.

  • Number of rows is total count in the \(2x2x2x2\) table.


  • In smaller graph

\[\begin{split} \begin{aligned} \log \left(\frac{P(Y=1|X=i,Z=k,W=l)}{P(Y=0|X=i,Z=k,W=l)}\right) &= \log\left(\frac{\mu_{i1kl}}{\mu_{i0kl}}\right) \\ &= \lambda^Y_1 - \lambda^Y_0 + \\ & \qquad \lambda^{XY}_{i1} - \lambda^{XY}_{i0} + \\ & \qquad \lambda^{YZ}_{1k} - \lambda^{YZ}_{0k} \end{aligned} \end{split}\]
  • Features for the logistic regression model for \(Y\) determined by \(N(Y)\).

  • Design matrix has 2 columns plus intercept.


Logistic regression model for \(Y\) allows us to estimate:

  • \(\lambda^Y_1 - \lambda^Y_0\)

  • \(\lambda^{XY}_{11} - \lambda^{XY}_{10} - \lambda^{XY}_{01} + \lambda^{XY}_{00}\)

  • \(\lambda^{YW}_{11} - \lambda^{YW}_{01} - \lambda^{YW}_{10} + \lambda^{YW}_{00}\)

Logistic regression model for \(X\) allows us to estimate:

  • \(\lambda^X_1 - \lambda^X_0\)

  • \(\lambda^{XY}_{11} - \lambda^{XY}_{01} - \lambda^{XY}_{10} + \lambda^{XY}_{00}\)

  • \(\lambda^{XW}_{11} - \lambda^{XW}_{01} - \lambda^{XW}_{10} + \lambda^{XW}_{00}\)


Non-binary data

  • Categorical models become baseline multinomial logits.

  • We estimate matrices of parameters – more complicated notation, conceptually the same.

How to estimate? (Especially if number of variables grow)

  • Usual default constraints would set anything with a 0 in subscript to 0…

  • With these constraints, we get two estimates for \(\lambda^{XY}_{11} - \lambda^{XY}_{10} - \lambda^{XY}_{01} + \lambda^{XY}_{00}\) (equal to \(\lambda^{XY}_{11}\) under defaults), one from each logistic regression.

  • Actually three – one comes from the loglinear model.

  • Which interactions to include? (To be revisited later.)


Pseudolikelihood

  • Each of \(X,Y,Z,W\) has a corresponding logistic regression model formed by conditioning on its neighbours.

  • The pseudo-likelihood for parameters \(\Lambda = (\lambda, \lambda^X_i, \lambda^Y_j, \dots)\) is

\[\begin{split} \begin{aligned} \log L_{\text{pseudo}}(\Lambda|X,Y,Z,W) &= \log L_{\text{logistic}}^Y(\Lambda|X,Z) + \\ & \qquad \log L_{\text{logistic}}^X(\Lambda|W,Y) + \\ & \qquad \log L_{\text{logistic}}^Z(\Lambda|Y,W) + \\ & \qquad \log L_{\text{logistic}}^W(\Lambda|X,Z) \end{aligned} \end{split}\]

Exact likelihood

  • Suppose now we have vertices \(V = \{X_1, \dots, X_k\}\) where each \(X_i \in \{0,1\}\) and graph \(G=(E,V)\)

  • For binary data and usual constraints on parameters each vertex in \(V\) gets one parameter and each edge gets one parameter. One parameter \(\gamma\) for overall intensity.

  • Edge / vertex parameters can be represented by symmetric matrix \(\Theta\) with \(\Theta_{ij} \neq 0 \iff (i,j) \in E\).

  • Likelihood (with a little work, assuming we observe full table)

\[ \log L(\gamma,\Theta|X) = \gamma \cdot 2^k + \text{Tr}(\Theta S) - \text{sum}(N) \cdot \log \left( \sum_{x \in \{0,1\}^k} \exp(\gamma + x^T \Theta x) \right) \]

where

\[\begin{split} S_{ij} = \begin{cases} \text{(1,1) entry in $X_i \times X_j$ marginal table} & i \neq j \\ \text{the number of 1's in $X_i$ marginal table.} & i=j \end{cases} \end{split}\]
  • Set \(B \in \{0,1\}^{\text{sum}(N) \times V}\). Then

\[ S = B'B \]
  • Normalizing constant is expensive to compute for moderate \(k\).


Pseudolikelihood

  • Pseudo-likelihood is a sum of \(k\) different logistic regression log-likelihoods.

  • The parameters in the log-likelihoods are functions of \((\gamma, \Theta)\) – pseudolikelihood ties them all together.

  • Normalizing constant is simple.

  • Fit is very easy.

Downside

  • Since this is not a likelihood, cannot appeal to LR tests, Fisher information.

  • Bootstrap likely applicable.


Non-binary data

  • If a variable \(X_i\) is not binary, then its pseudo-likelihood is baseline multinomial logit log-likelihood.

  • In this case, \(\Theta\) is not a matrix, every edge is represented by potentially a matrix of parameters.


Selecting interactions (i.e. edges)

\[ \log L_{\text{pseudo}}(\Theta) + \lambda \|\Theta_{\text{offdiag}}\|_1 \]

Pseudolikelihood for Ising model

  • Besag’s original motivation was for inference in models similar to an Ising model and other models of spatial statistics.

  • Given graph \(G=(V,E)\) and a single observation \(X \in \{0,1\}^V\), we want to estimate parameters in a model

\[ P_{(\alpha,\beta)}(X) \propto \exp\left(\alpha \cdot \sum_{i \in V} X_i + \beta \cdot \sum_{(i,j) \in E} X_i X_j\right) \]
  • This is an exponential family:

    • Sufficient statistics: \(\left(\sum_{i \in V} X_i, \sum_{(i,j) \in E}X_i X_j \right)\)

    • Natural parameters: \((\alpha, \beta)\)

    • Reference measure: counting measure on \(\{0,1\}^V\).


Contribution of a vertex

  • Terms in the pseudolikelihood are

\[\begin{split} \begin{aligned} P_{(\alpha,\beta)}(X_i=1|X_{N(i)}) &\propto \exp\left(\alpha + \beta \sum_{j \in N(i)} X_j \right) \\ P_{(\alpha,\beta)}(X_i=0|X_{N(i)}) &\propto 1 \\ \end{aligned} \end{split}\]
  • Log-pseudolikelihood, summing over \(i\) is $\( \sum_{i \in V} \left(\alpha \cdot X_i + \beta \left(\sum_{j \in N(i)} X_iX_j\right) \right) - \log\left(1 + \exp\left(\alpha + \beta \sum_{j \in N(i)} X_j\right) \right) \)$


  • Differentiate w.r.t. \(\alpha\) $\( \sum_{i \in V} \left[X_i - \frac{\exp\left(\alpha + \beta \sum_{j \in N(i)} X_j \right)}{1 + \exp\left(\alpha + \beta \sum_{j \in N(i)} X_j \right)} \right] \)$

  • Computing expectations at true \((\alpha^*,\beta^*)\):

\[ E_{(\alpha^*,\beta^*)} \left[\sum_{i \in V} \left[X_i - \frac{\exp\left(\alpha + \beta \sum_{j \in N(i)} X_j \right)}{1 + \exp\left(\alpha + \beta \sum_{j \in N(i)} X_j \right)} \right] \right] \]
  • At pseudo-MLE we set this equal to $\( 0= E_{(\alpha^*,\beta^*)} \left[\sum_{i \in V} \left[E_{(\alpha^*,\beta^*)}[X_i|X_{N(i)}] - \frac{\exp\left(\alpha^* + \beta^* \sum_{j \in N(i)} X_j \right)}{1 + \exp\left(\alpha^* + \beta^* \sum_{j \in N(i)} X_j \right)} \right] \right] \)$

  • Pseudo-likelihood is an estimating equation


Implications for Gibbs sampling

  • Suppose we want to sample from \(P_{(\alpha,\beta)}\).

  • Distribution \(X_i | X_{-i}\) is the same as \(X_i | X_{N(i)}\).

\[\begin{split} \begin{aligned} P_{(\alpha,\beta)}(X_i=1|X_{N(i)}) &\propto \exp\left(\alpha + \beta \sum_{j \in N(i)} X_j \right) \\ P_{(\alpha,\beta)}(X_i=0|X_{N(i)}) &\propto 1 \\ \end{aligned} \end{split}\]
  • Posterior densities used for Gibbs sampling correspond to pseudo-likelihoods times priors


Other uses of pseudolikelihood

  • The “pieces” of pseudolikelihood are conditional likelihoods.

  • These conditional likelihoods are sometimes useful themselves following general principle of eliminating nuisance parameters.

  • In the homogeneous association model conditioning on all neighbours eliminate all nuisance parameters for all variables outside of \(\{v\} \cup N(v)\).


OLS regression

  • Consider the usual Gaussian regression model with \((\beta,\sigma^2)\) unknown

\[\begin{split} \begin{aligned} -\log L(\beta, \sigma^2|X) &= \frac{1}{2 \sigma^2} \|Y-X\beta\|^2_2 + \frac{n}{2} \log(2\pi \sigma^2) \\ &= \frac{1}{2 \sigma^2} \|Y\|^2_2 - \frac{1}{\sigma^2}\beta^T(X^TY) + C(\sigma^2,\beta) \end{aligned} \end{split}\]
  • An exponential family:

    • Sufficient statistic \((X^TY, \|Y\|^2_2)\).

    • Natural parameters \(\left(\beta / \sigma^2, -\frac{1}{2\sigma^2}\right)\)

    • Reference measure: \(dY\).


  • Consider the law $\(P_{(\beta, \sigma^2)}\left(\|Y\|^2_2 \bigl \vert X^TY\right).\)$

  • Not hard to see that this law is \(\|(I-H)Y\|^2_2 + \|HY\|^2_2\) where \(HY\) is measurable w.r.t. \(X^TY\).

  • Conditional likelihood for \(\sigma^2\) is based on \(P_{(\beta,\sigma^2)}(\|(I-H)Y\|^2_2)\) – a \(\chi^2_{n-p}\) likelihood.

  • Maximum (conditional) likelihood estimator is the usual unbiased estimate of \(\sigma^2\) not the biased MLE. This conditional likelihood estimator is better than the MLE!

  • This phenomenon has a life of its own in mixed effects model: REML (Residual Maximum Likelihood) (though elimination of nuisance parameter is not always justified by conditioning).


Continuous variables

  • We saw with binary data marginal homogeneity yields a model with likelihood

\[ \log L(\gamma,\Theta|X) = \gamma \cdot 2^k + \text{Tr}(\Theta S) - \sum_{x \in \{0,1\}^k} \exp(\gamma + x^T \Theta x) \]
  • Suppose data are continuous but marginally homogeneous.

  • A few choices yields Gaussian: \(X_s \sim N(0,\Sigma), 1 \leq s \leq n\)

\[ \log L(\Sigma) = - \frac{n}{2} \log |\Sigma| - \frac{1}{2} \text{Tr}(\Sigma^{-1}S) \]
  • Above

\[ S = X'X = \sum_{s=1}^n X_sX_s' \]
  • Setting \(\Theta=\Sigma^{-1}\) yields

\[ \log L(\Theta) = \frac{n}{2} \log |\Theta| - \frac{1}{2} \text{Tr}(\Theta S) \]
  • Unlike binary case normalizing constant is explicit.


Selecting edges: graphical LASSO

\[ \hat{\Theta} = \text{argmin}_{\Theta} \left[-\frac{n}{2} \log |\Theta| + \frac{1}{2} \text{Tr}(\Theta S) + \lambda \|\Theta_{\text{offdiag}}\|_1 \right] \]
  • This uses true likelihood because normalizing constant is known.